mp-22971/SbSBr/anharm

Harmonic properties

../../_images/fig_bandos_pr13162.png

(a) Phonon dispersion with participation ratio and DOS

../../_images/fig_thermo13162.png

(b) Thermodynamic properties

Grüneisen parameters

../../_images/fig_gru_all5508.png

(a) Grüneisen parameters

../../_images/fig_gruneisen5508.png

(b) Phonon dispersion with Grüneisen parameters

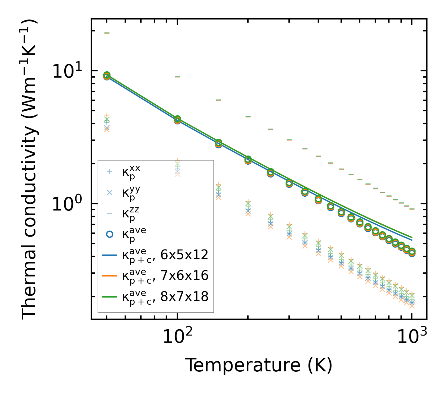
Thermal conductivity

3-phonon (LASSO) — q-mesh: 8x7x18, supercell: 2x2x3

../../_images/fig_kappa10344.png

(a) Temperature-dependent lattice thermal conductivity

../../_images/fig_kappa_vs_grain_size5573.png

(b) Peierls lattice thermal conductivity w.r.t grain size

Phonon lifetime and scattering rates

../../_images/fig_lifetime5455.png

(a) Phonon lifetime due to phonon-phonon scattering

../../_images/fig_scat_rates5454.png

(b) Phonon scattering rates

Cumulative and spectral thermal conductivity

../../_images/fig_cumu_frequency5455.png

(a) Spectral and cumulative thermal conductivity w.r.t frequency

../../_images/fig_cumu_mfp5454.png

(b) Spectral and cumulative thermal conductivity w.r.t MFP

Force constants

../../_images/fig_fc212820.png

(a) Force constants w.r.t atomic distance

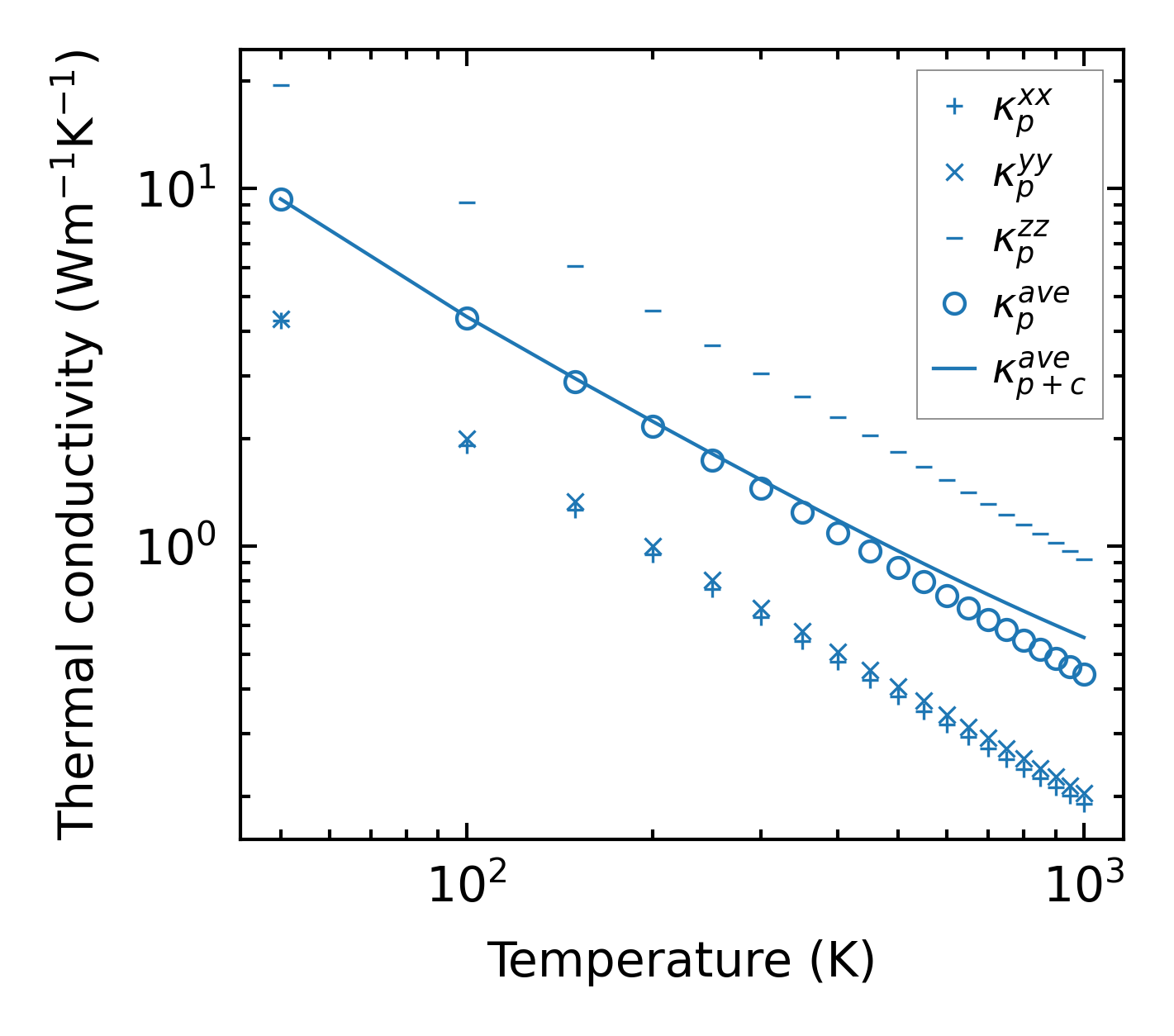
Summary

../../_images/fig_kappa10345.png

(a) Temperature-dependent lattice thermal conductivity

../../_images/fig_times22230.png

(b) Computation time