mp-22858-2/TlI/anharm

Equation of state

../../_images/fig_bm6555.png

(a) Equation of state

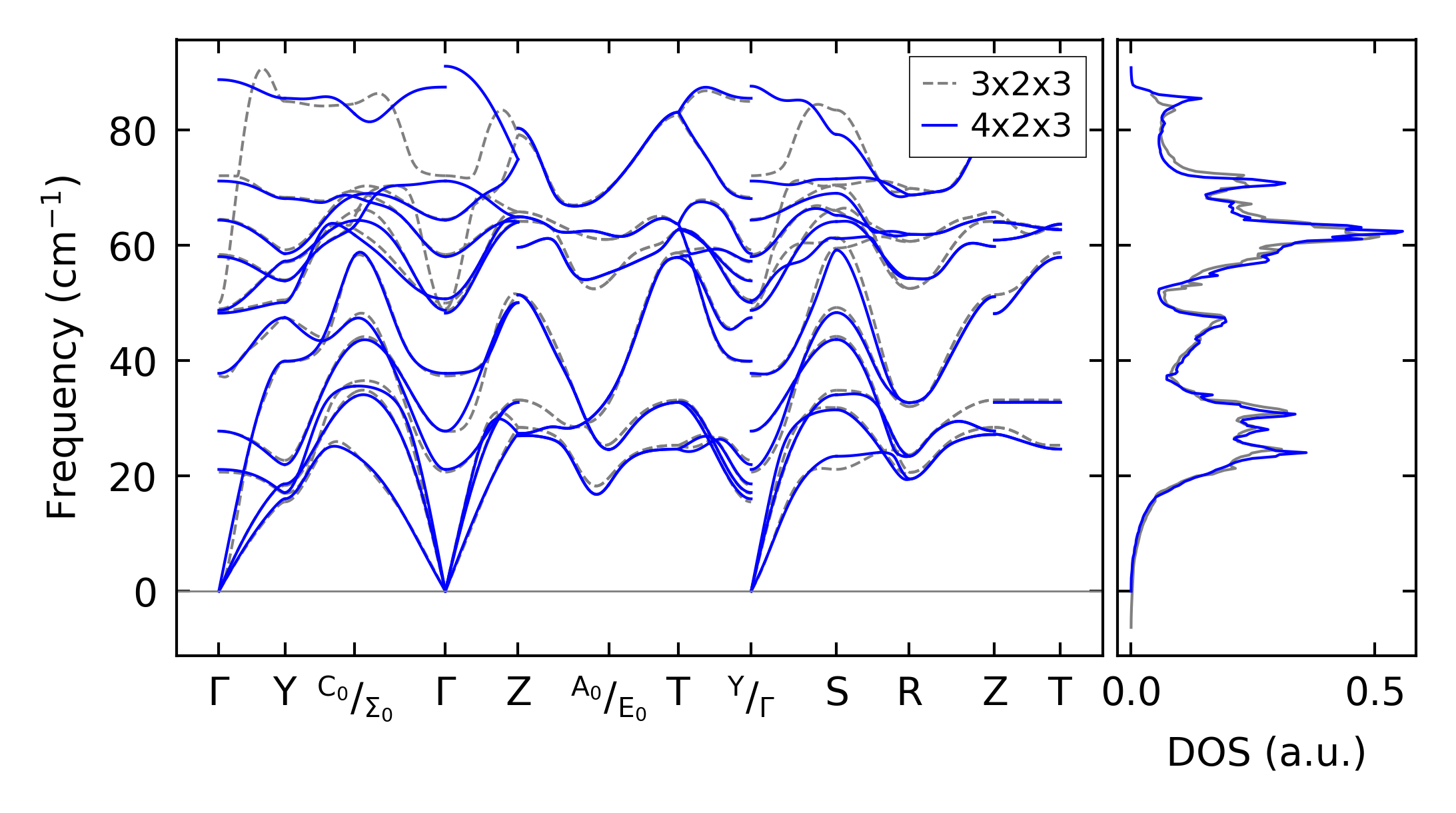
Harmonic properties

../../_images/fig_bandos_pr13110.png

(a) Phonon dispersion with participation ratio and DOS

../../_images/fig_bandos17508.png

(b) Phonon dispersion and DOS

../../_images/fig_thermo13110.png

(c) Thermodynamic properties

Grüneisen parameters

../../_images/fig_gru_all5473.png

(a) Grüneisen parameters

../../_images/fig_gruneisen5473.png

(b) Phonon dispersion with Grüneisen parameters

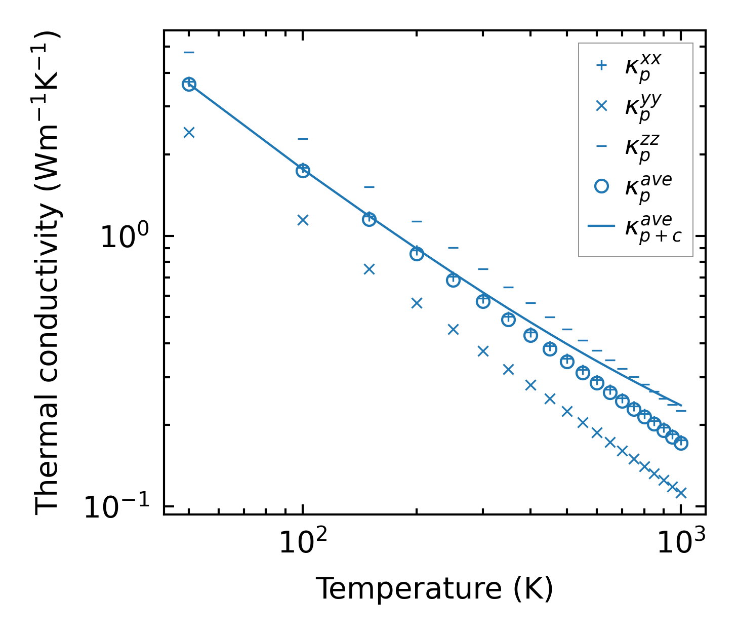
Thermal conductivity

3-phonon, supercell 4x2x3 — q-mesh: 12x12x16, supercell: 4x2x3

../../_images/fig_kappa10277.png

(a) Temperature-dependent lattice thermal conductivity

../../_images/fig_kappa_vs_grain_size5538.png

(b) Peierls lattice thermal conductivity w.r.t grain size

Phonon lifetime and scattering rates

../../_images/fig_lifetime5421.png

(a) Phonon lifetime due to phonon-phonon scattering

../../_images/fig_scat_rates5420.png

(b) Phonon scattering rates

Cumulative and spectral thermal conductivity

../../_images/fig_cumu_frequency5421.png

(a) Spectral and cumulative thermal conductivity w.r.t frequency

../../_images/fig_cumu_mfp5420.png

(b) Spectral and cumulative thermal conductivity w.r.t MFP

Force constants

../../_images/fig_fc3324.png

(a) Force constants w.r.t atomic distance

Summary

../../_images/fig_times22152.png

(a) Computation time