mp-22569-2/InPO4/anharm

Equation of state

../../_images/fig_bm6529.png

(a) Equation of state

Harmonic properties

../../_images/fig_bandos_pr13077.png

(a) Phonon dispersion with participation ratio and DOS

../../_images/fig_thermo13077.png

(b) Thermodynamic properties

Grüneisen parameters

../../_images/fig_gru_all5458.png

(a) Grüneisen parameters

../../_images/fig_gruneisen5458.png

(b) Phonon dispersion with Grüneisen parameters

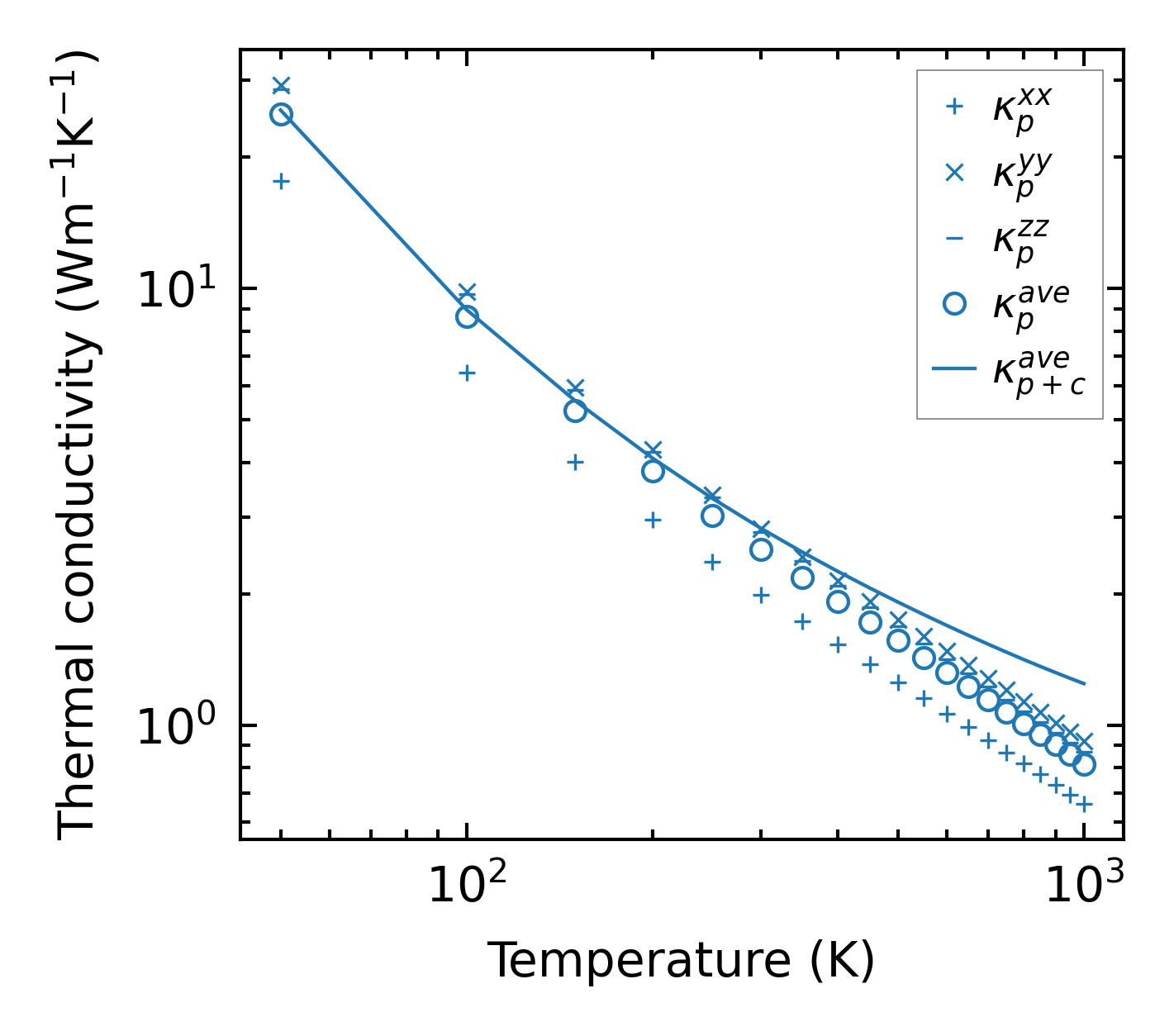
Thermal conductivity

3-phonon (LASSO) — q-mesh: 8x10x14, supercell: 1x2x2

../../_images/fig_kappa10250.png

(a) Temperature-dependent lattice thermal conductivity

../../_images/fig_kappa_vs_grain_size5522.png

(b) Peierls lattice thermal conductivity w.r.t grain size

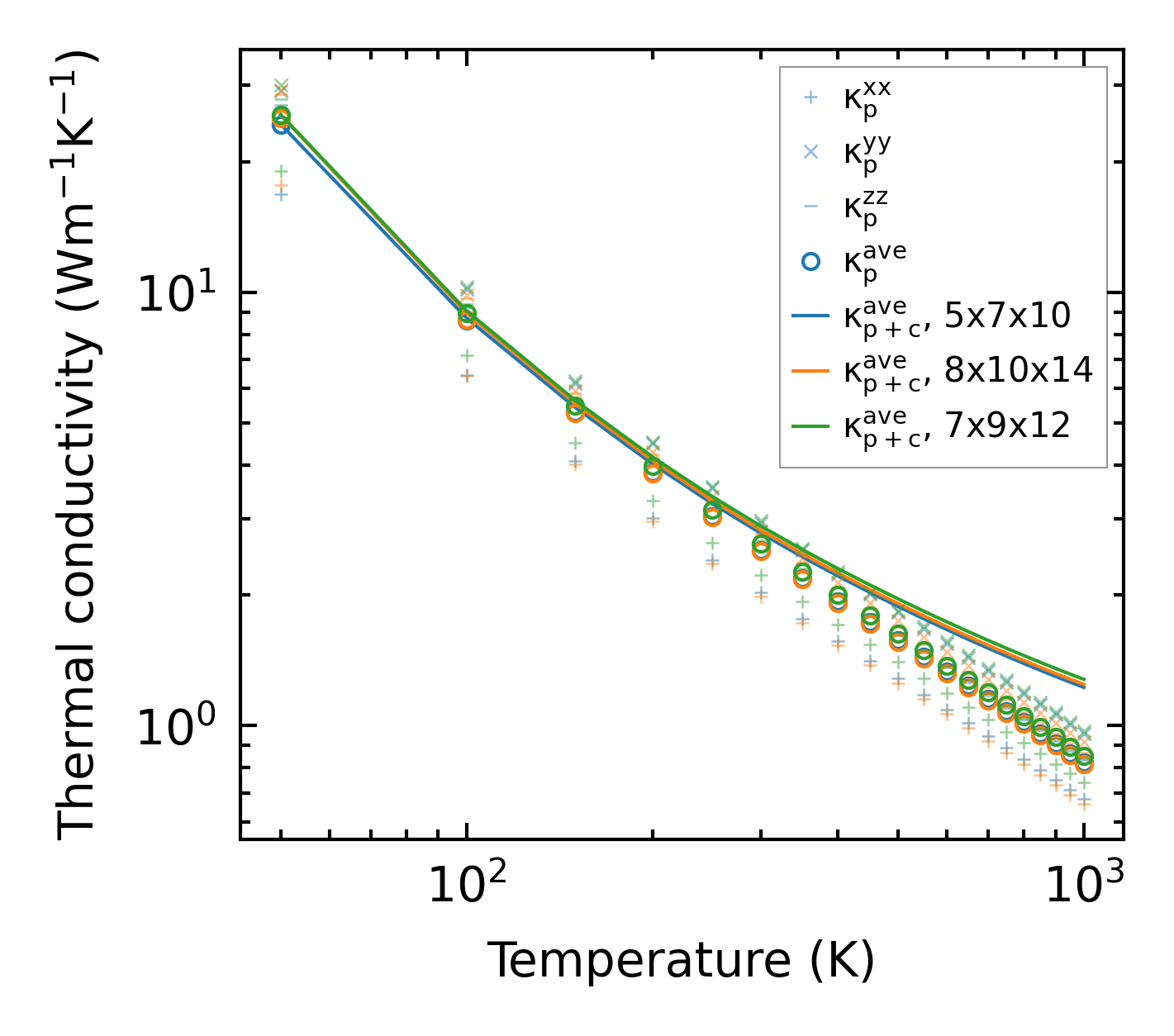
3-phonon (LASSO), supercell 2x2x2 — q-mesh: 8x10x14, supercell: 2x2x2

../../_images/fig_kappa10251.png

(a) Temperature-dependent lattice thermal conductivity

../../_images/fig_kappa_vs_grain_size5523.png

(b) Peierls lattice thermal conductivity w.r.t grain size

Phonon lifetime and scattering rates

../../_images/fig_lifetime5406.png

(a) Phonon lifetime due to phonon-phonon scattering

../../_images/fig_scat_rates5405.png

(b) Phonon scattering rates

Cumulative and spectral thermal conductivity

../../_images/fig_cumu_frequency5406.png

(a) Spectral and cumulative thermal conductivity w.r.t frequency

../../_images/fig_cumu_mfp5405.png

(b) Spectral and cumulative thermal conductivity w.r.t MFP

Force constants

../../_images/fig_fc212756.png

(a) Force constants w.r.t atomic distance

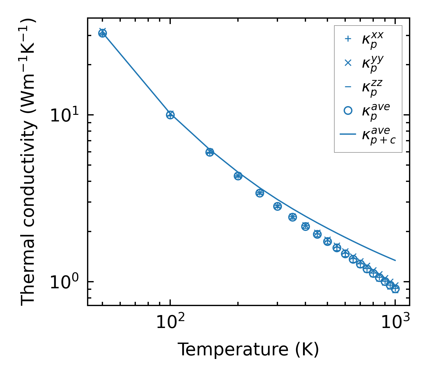
Summary

../../_images/fig_kappa10252.png

(a) Temperature-dependent lattice thermal conductivity

../../_images/fig_times22089.png

(b) Computation time