mp-22192/Si3Ru2/anharm

Harmonic properties

../../_images/fig_bandos_pr13032.png

(a) Phonon dispersion with participation ratio and DOS

../../_images/fig_thermo13032.png

(b) Thermodynamic properties

Grüneisen parameters

../../_images/fig_gru_all5428.png

(a) Grüneisen parameters

../../_images/fig_gruneisen5428.png

(b) Phonon dispersion with Grüneisen parameters

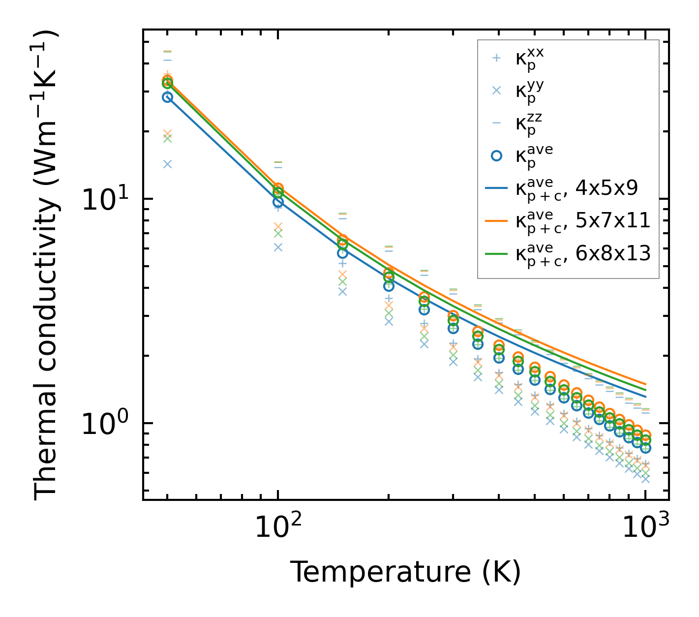
Thermal conductivity

3-phonon (LASSO) — q-mesh: 6x8x13, supercell: 1x1x2

../../_images/fig_kappa10193.png

(a) Temperature-dependent lattice thermal conductivity

../../_images/fig_kappa_vs_grain_size5492.png

(b) Peierls lattice thermal conductivity w.r.t grain size

Phonon lifetime and scattering rates

../../_images/fig_lifetime5376.png

(a) Phonon lifetime due to phonon-phonon scattering

../../_images/fig_scat_rates5375.png

(b) Phonon scattering rates

Cumulative and spectral thermal conductivity

../../_images/fig_cumu_frequency5376.png

(a) Spectral and cumulative thermal conductivity w.r.t frequency

../../_images/fig_cumu_mfp5375.png

(b) Spectral and cumulative thermal conductivity w.r.t MFP

Force constants

../../_images/fig_fc212712.png

(a) Force constants w.r.t atomic distance

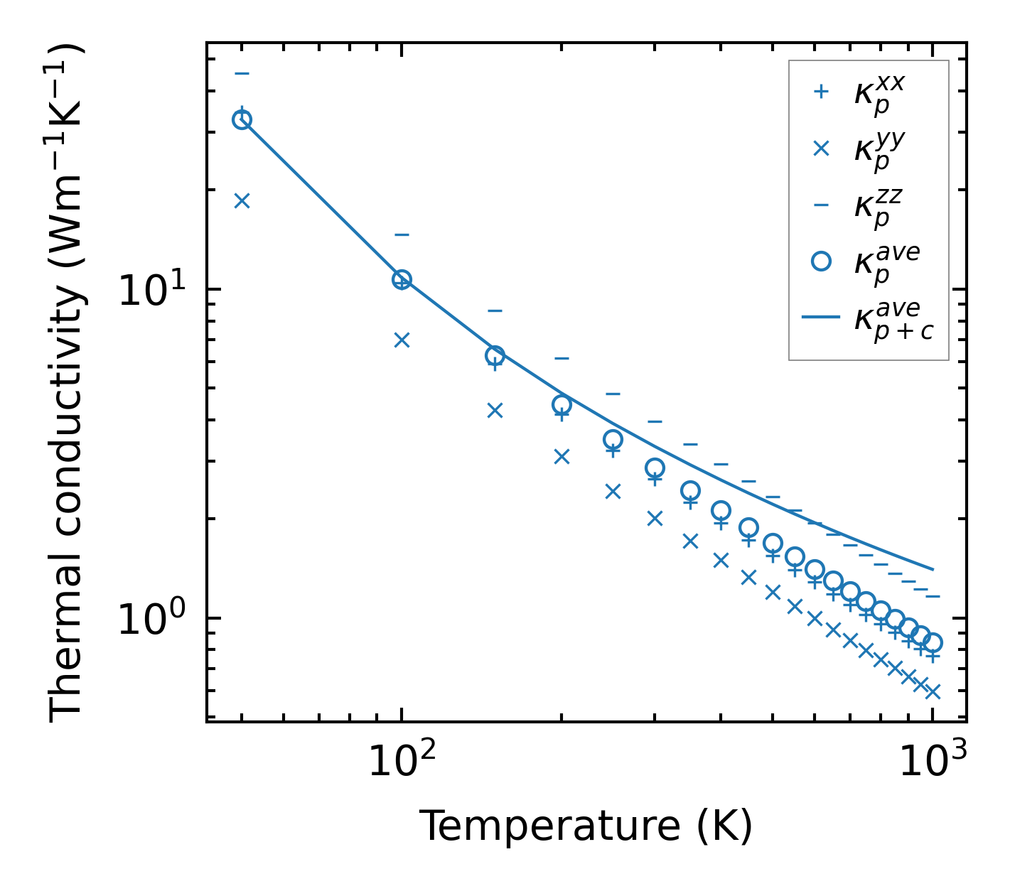
Summary

../../_images/fig_kappa10194.png

(a) Temperature-dependent lattice thermal conductivity

../../_images/fig_times22022.png

(b) Computation time