mp-22538/Li8PbO6/anharm

Harmonic properties

../../_images/fig_bandos_pr13075.png

(a) Phonon dispersion with participation ratio and DOS

../../_images/fig_thermo13075.png

(b) Thermodynamic properties

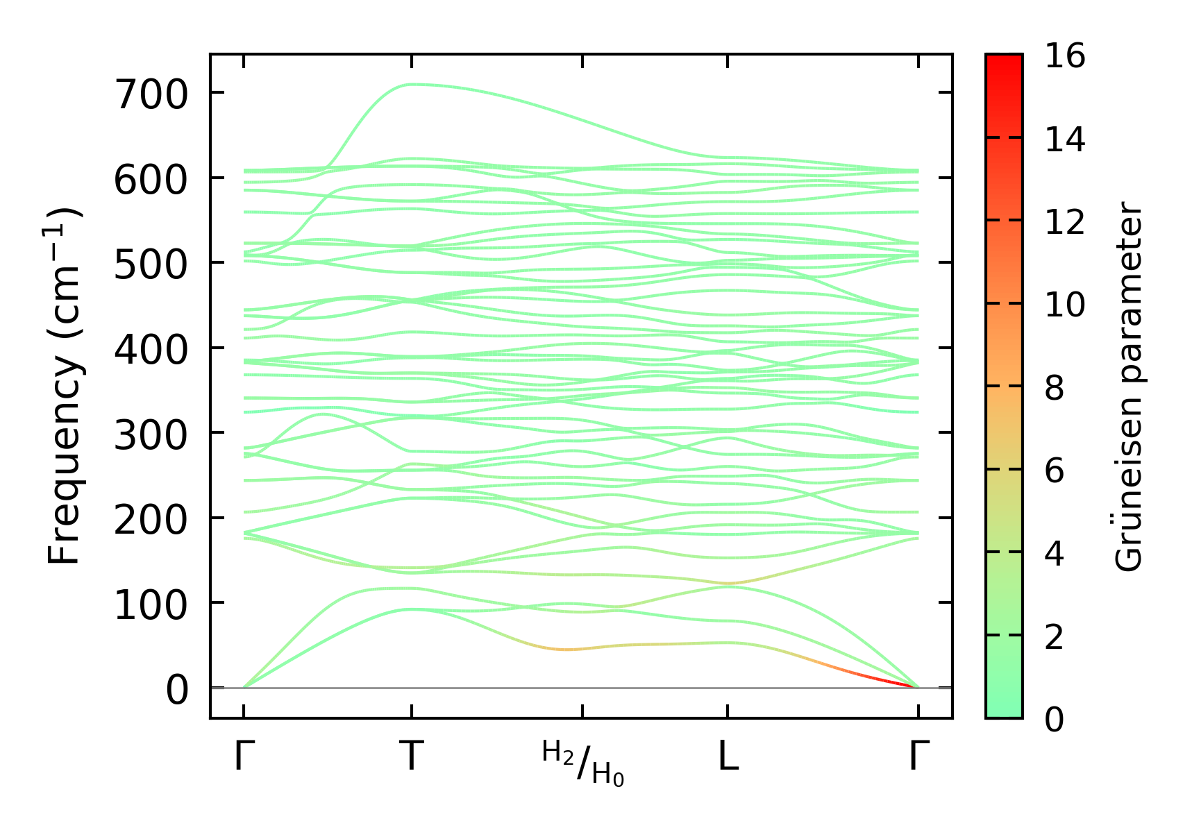
Grüneisen parameters

../../_images/fig_gru_all5456.png

(a) Grüneisen parameters

../../_images/fig_gruneisen5456.png

(b) Phonon dispersion with Grüneisen parameters

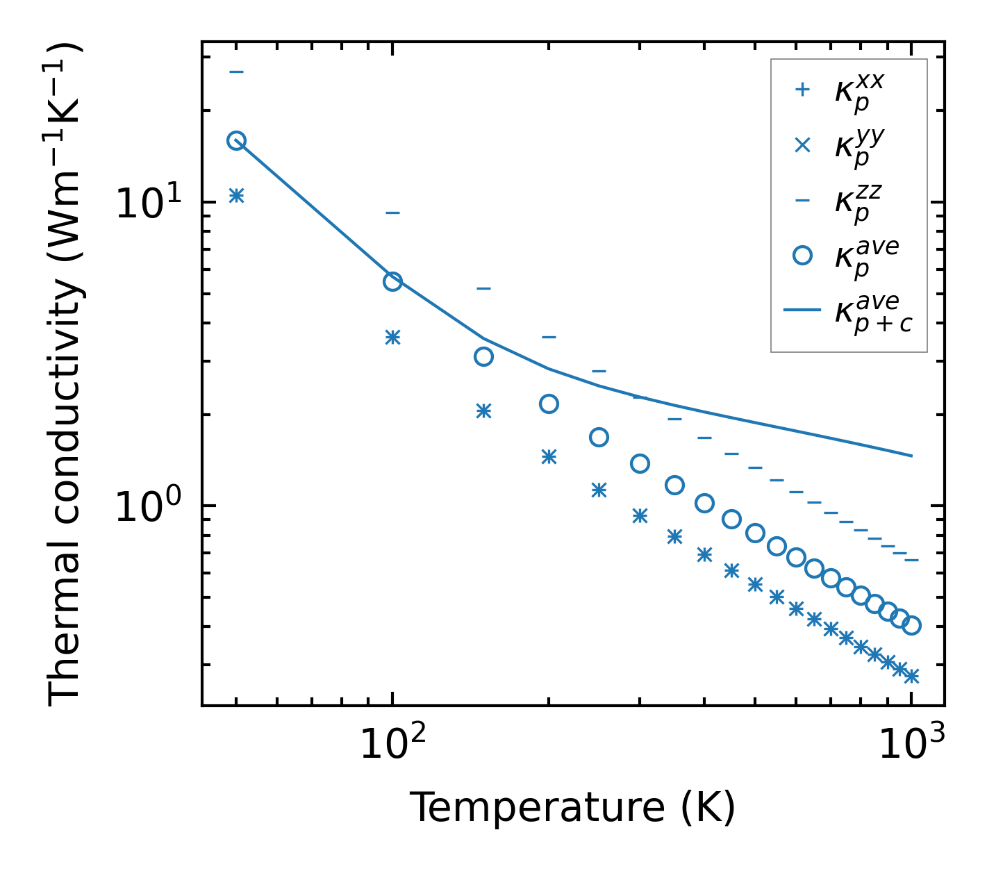
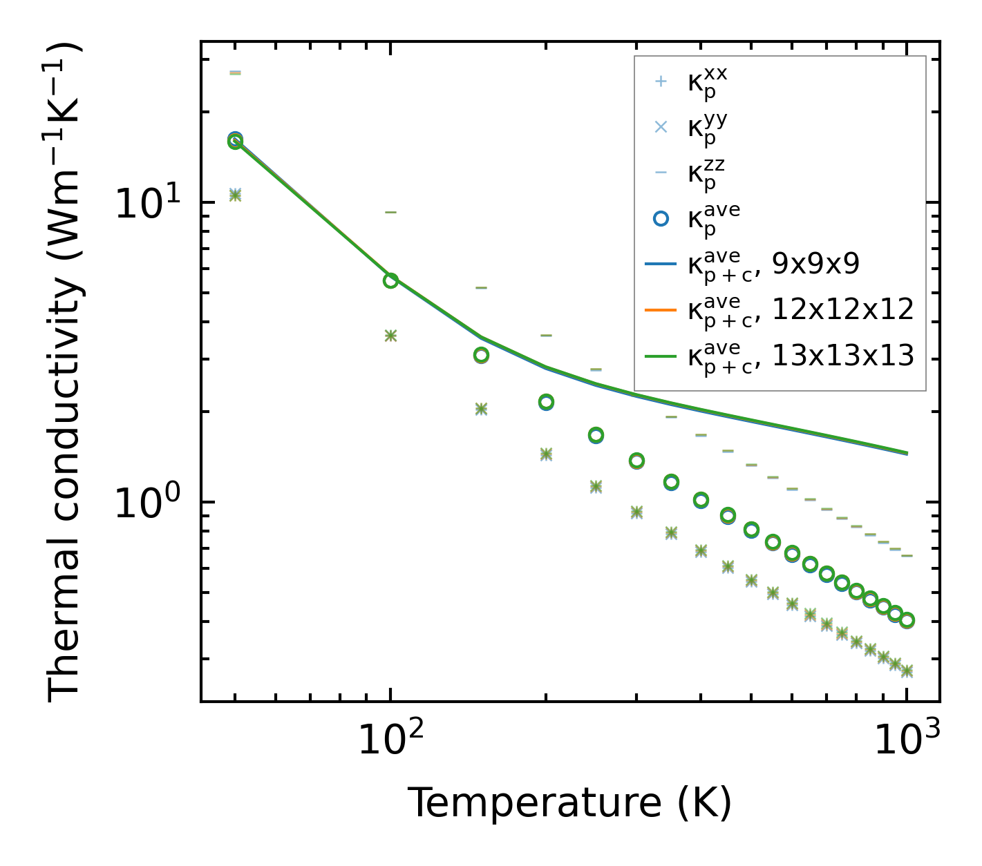
Thermal conductivity

3-phonon (LASSO) — q-mesh: 13x13x13, supercell: 1x1x1

../../_images/fig_kappa10247.png

(a) Temperature-dependent lattice thermal conductivity

../../_images/fig_kappa_vs_grain_size5520.png

(b) Peierls lattice thermal conductivity w.r.t grain size

Phonon lifetime and scattering rates

../../_images/fig_lifetime5404.png

(a) Phonon lifetime due to phonon-phonon scattering

../../_images/fig_scat_rates5403.png

(b) Phonon scattering rates

Cumulative and spectral thermal conductivity

../../_images/fig_cumu_frequency5404.png

(a) Spectral and cumulative thermal conductivity w.r.t frequency

../../_images/fig_cumu_mfp5403.png

(b) Spectral and cumulative thermal conductivity w.r.t MFP

Force constants

../../_images/fig_fc212754.png

(a) Force constants w.r.t atomic distance

Summary

../../_images/fig_kappa10248.png

(a) Temperature-dependent lattice thermal conductivity

../../_images/fig_times22082.png

(b) Computation time