mp-22512-2/Sr2In2O5/anharm

Equation of state

../../_images/fig_bm6524.png

(a) Equation of state

Harmonic properties

../../_images/fig_bandos_pr13073.png

(a) Phonon dispersion with participation ratio and DOS

../../_images/fig_bandos17445.png

(b) Phonon dispersion and DOS

../../_images/fig_thermo13073.png

(c) Thermodynamic properties

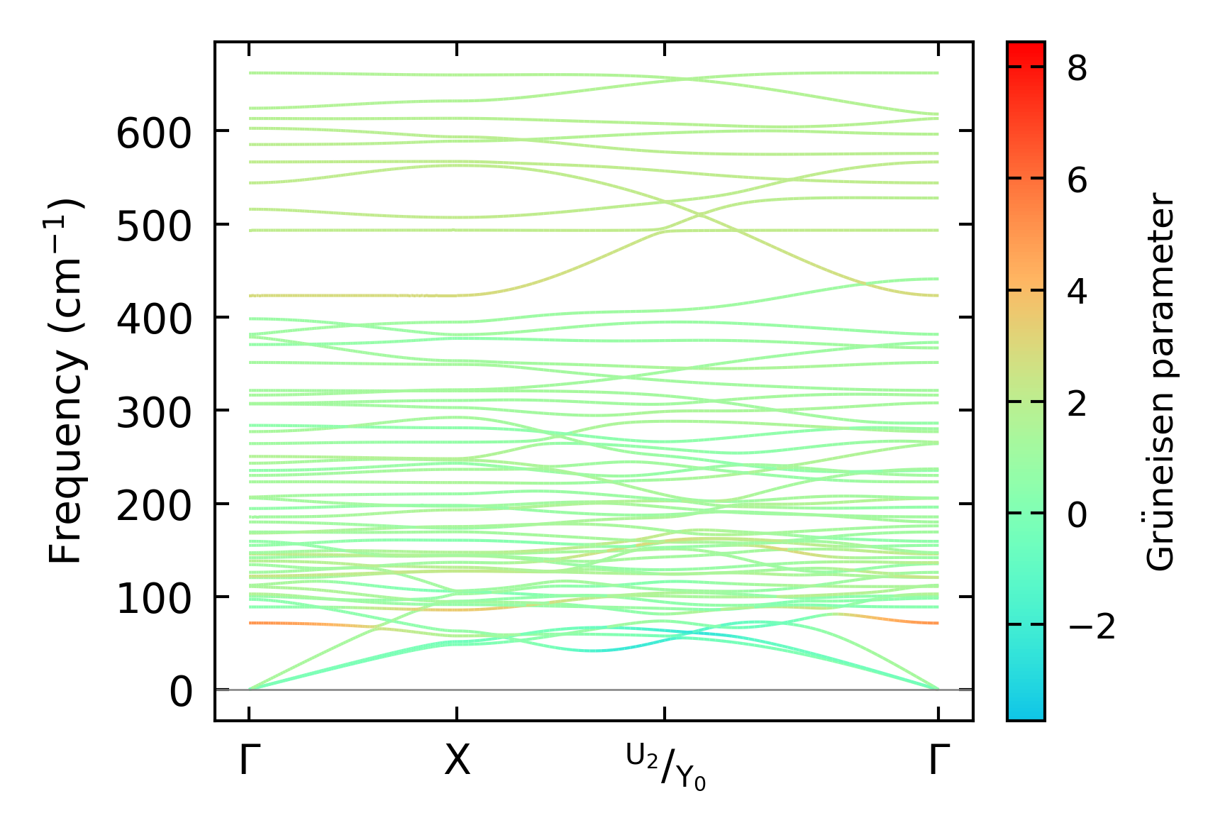
Grüneisen parameters

../../_images/fig_gru_all5454.png

(a) Grüneisen parameters

../../_images/fig_gruneisen5454.png

(b) Phonon dispersion with Grüneisen parameters

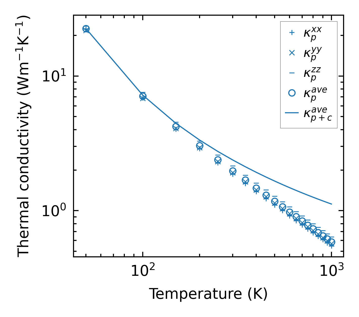
Thermal conductivity

3-phonon (LASSO) — q-mesh: 11x11x11, supercell: 1x2x2

../../_images/fig_kappa10243.png

(a) Temperature-dependent lattice thermal conductivity

../../_images/fig_kappa_vs_grain_size5518.png

(b) Peierls lattice thermal conductivity w.r.t grain size

Phonon lifetime and scattering rates

../../_images/fig_lifetime5402.png

(a) Phonon lifetime due to phonon-phonon scattering

../../_images/fig_scat_rates5401.png

(b) Phonon scattering rates

Cumulative and spectral thermal conductivity

../../_images/fig_cumu_frequency5402.png

(a) Spectral and cumulative thermal conductivity w.r.t frequency

../../_images/fig_cumu_mfp5401.png

(b) Spectral and cumulative thermal conductivity w.r.t MFP

Force constants

../../_images/fig_fc212752.png

(a) Force constants w.r.t atomic distance

Summary

../../_images/fig_kappa10244.png

(a) Temperature-dependent lattice thermal conductivity

../../_images/fig_times22076.png

(b) Computation time