mp-22919-2/AgI/anharm

Equation of state

../../_images/fig_bm6568.png

(a) Equation of state

Harmonic properties

../../_images/fig_bandos_pr13140.png

(a) Phonon dispersion with participation ratio and DOS

../../_images/fig_bandos17531.png

(b) Phonon dispersion and DOS

../../_images/fig_thermo13140.png

(c) Thermodynamic properties

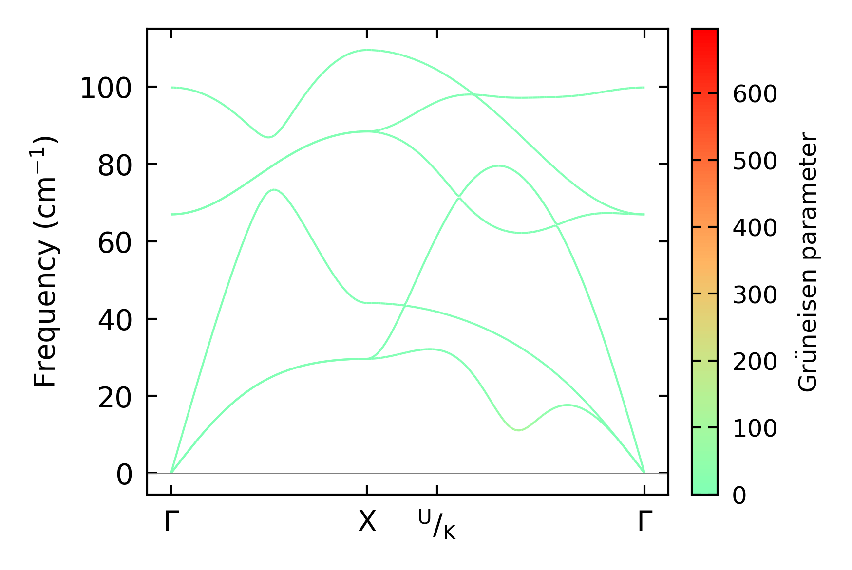
Grüneisen parameters

../../_images/fig_gru_all5498.png

(a) Grüneisen parameters

../../_images/fig_gruneisen5498.png

(b) Phonon dispersion with Grüneisen parameters

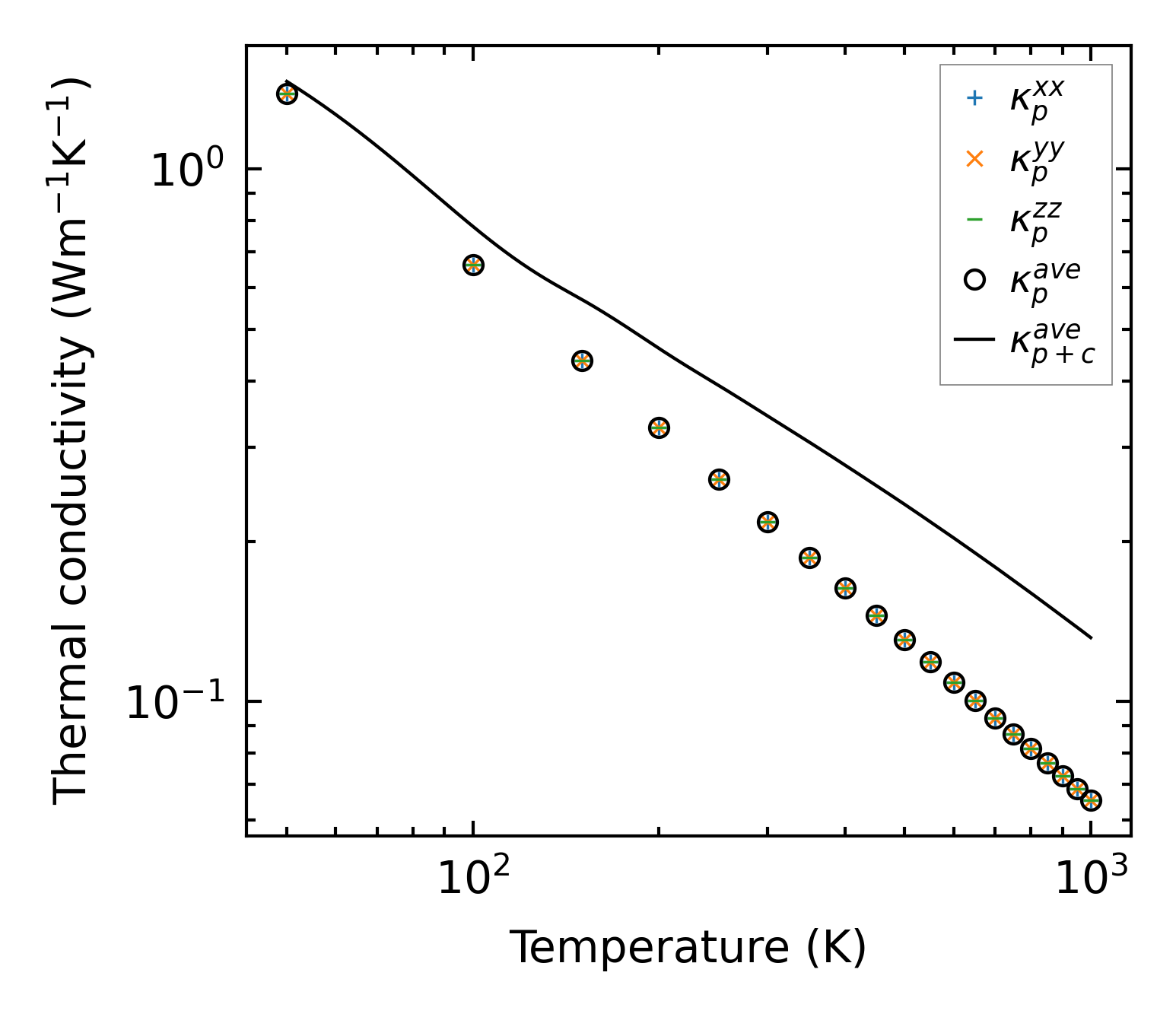
Thermal conductivity

3-phonon, supercell 3x3x3 — q-mesh: 19x19x19, supercell: 3x3x3

../../_images/fig_kappa10326.png

(a) Temperature-dependent lattice thermal conductivity

Force constants

../../_images/fig_fc3339.png

(a) Force constants w.r.t atomic distance

Summary

../../_images/fig_times22199.png

(a) Computation time