mp-22443/VInO4/anharm

Harmonic properties

../../_images/fig_bandos_pr13062.png

(a) Phonon dispersion with participation ratio and DOS

../../_images/fig_thermo13062.png

(b) Thermodynamic properties

Grüneisen parameters

../../_images/fig_gru_all5448.png

(a) Grüneisen parameters

../../_images/fig_gruneisen5448.png

(b) Phonon dispersion with Grüneisen parameters

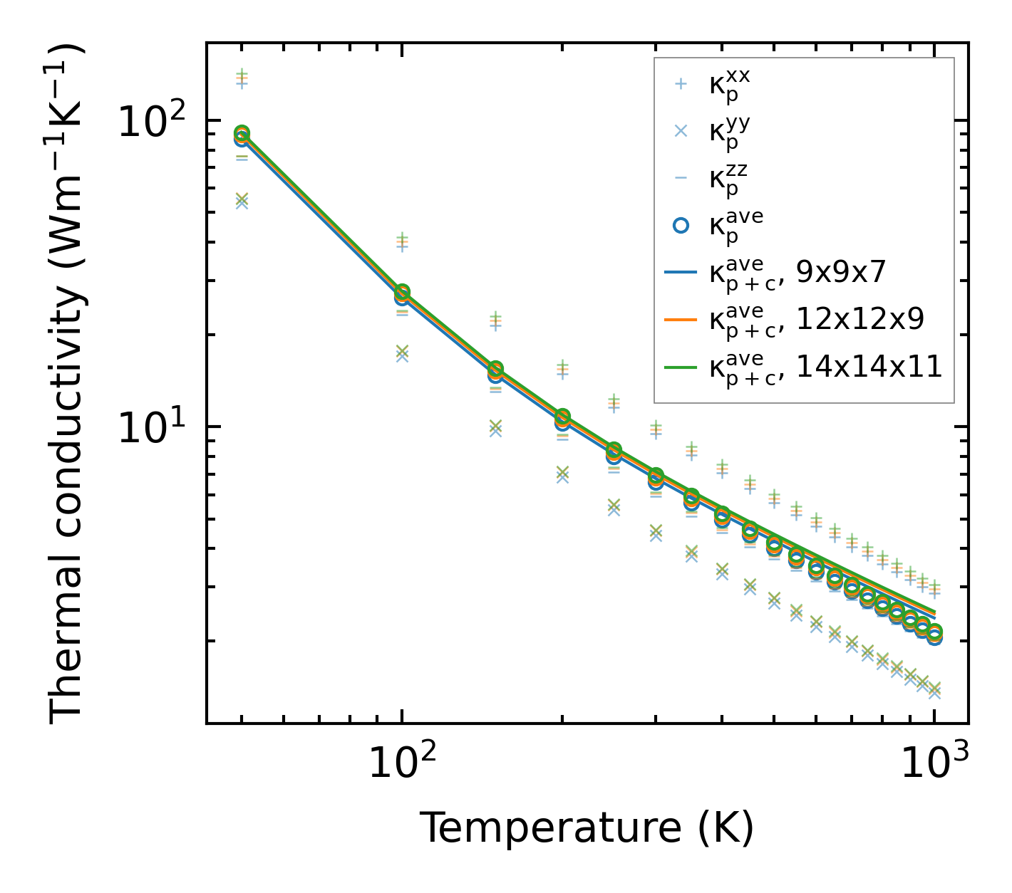
Thermal conductivity

3-phonon (LASSO) — q-mesh: 14x14x11, supercell: 2x1x2

../../_images/fig_kappa10232.png

(a) Temperature-dependent lattice thermal conductivity

../../_images/fig_kappa_vs_grain_size5512.png

(b) Peierls lattice thermal conductivity w.r.t grain size

Phonon lifetime and scattering rates

../../_images/fig_lifetime5396.png

(a) Phonon lifetime due to phonon-phonon scattering

../../_images/fig_scat_rates5395.png

(b) Phonon scattering rates

Cumulative and spectral thermal conductivity

../../_images/fig_cumu_frequency5396.png

(a) Spectral and cumulative thermal conductivity w.r.t frequency

../../_images/fig_cumu_mfp5395.png

(b) Spectral and cumulative thermal conductivity w.r.t MFP

Force constants

../../_images/fig_fc212741.png

(a) Force constants w.r.t atomic distance

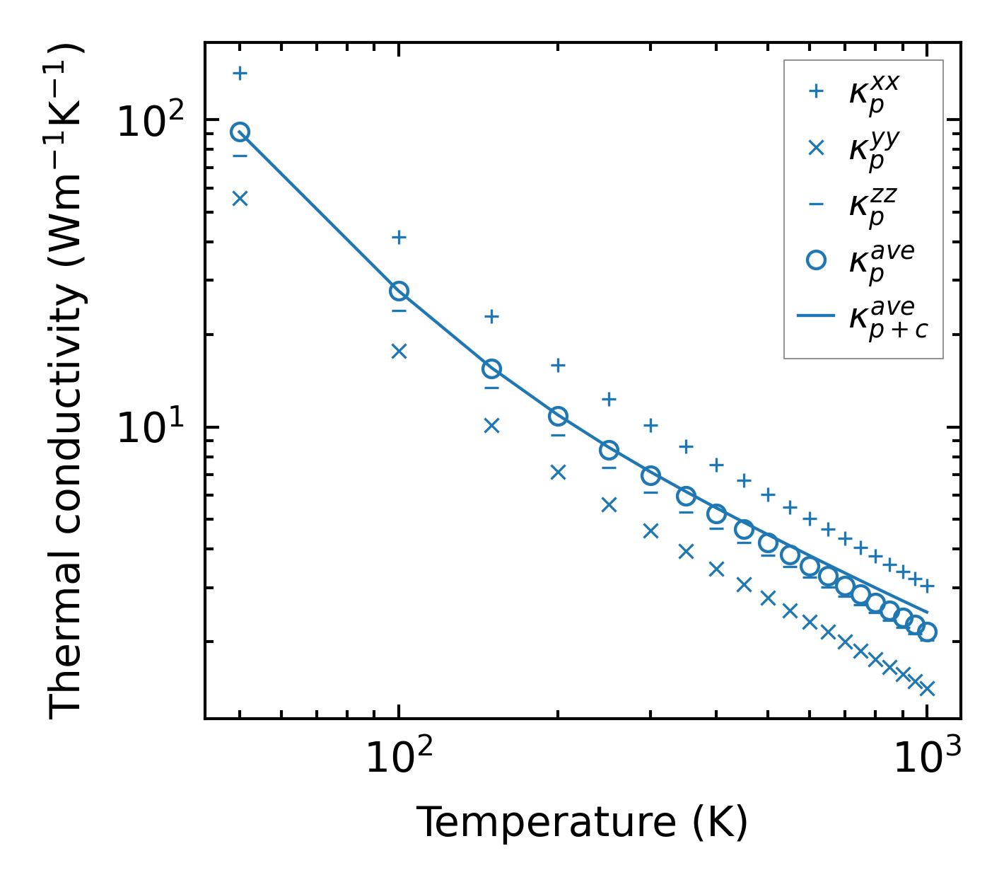
Summary

../../_images/fig_kappa10233.png

(a) Temperature-dependent lattice thermal conductivity

../../_images/fig_times22062.png

(b) Computation time