mp-22255/RbInTe2/anharm

Harmonic properties

../../_images/fig_bandos_pr13046.png

(a) Phonon dispersion with participation ratio and DOS

../../_images/fig_thermo13046.png

(b) Thermodynamic properties

Grüneisen parameters

../../_images/fig_gru_all5437.png

(a) Grüneisen parameters

../../_images/fig_gruneisen5437.png

(b) Phonon dispersion with Grüneisen parameters

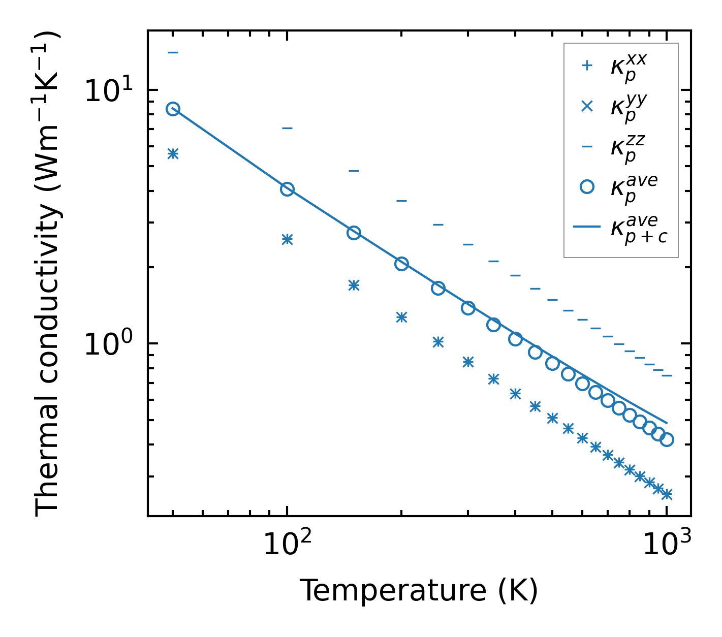
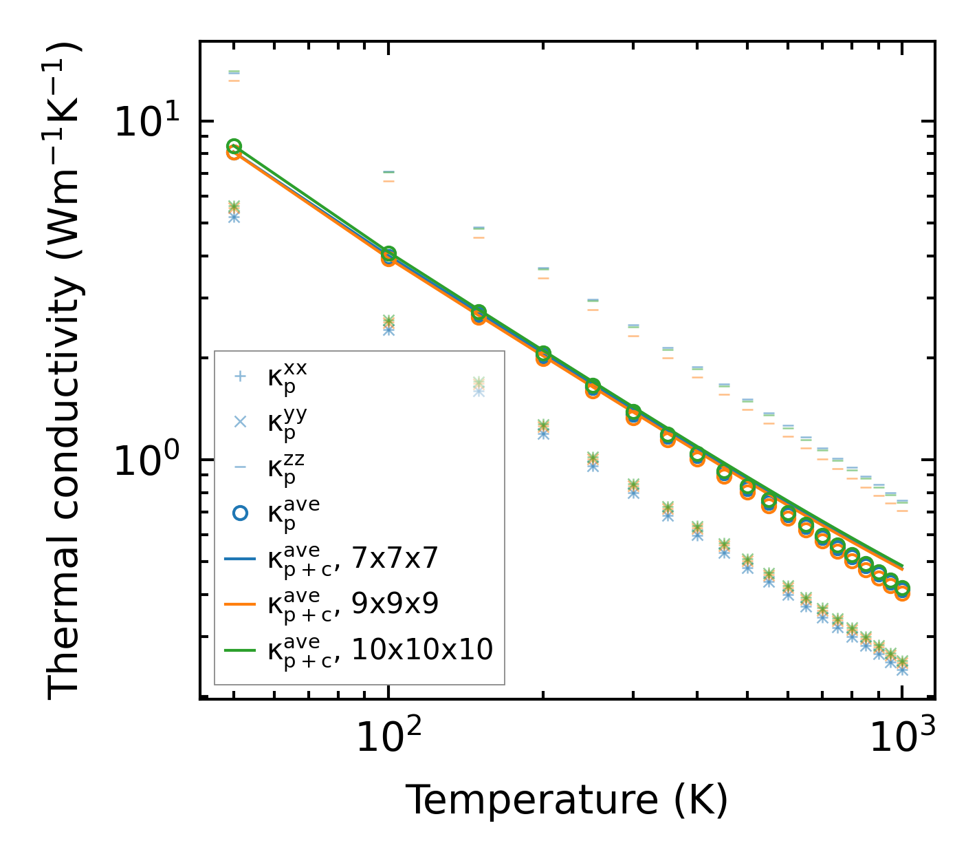
Thermal conductivity

3-phonon (LASSO) — q-mesh: 10x10x10, supercell: 2x2x2

../../_images/fig_kappa10210.png

(a) Temperature-dependent lattice thermal conductivity

../../_images/fig_kappa_vs_grain_size5501.png

(b) Peierls lattice thermal conductivity w.r.t grain size

Phonon lifetime and scattering rates

../../_images/fig_lifetime5385.png

(a) Phonon lifetime due to phonon-phonon scattering

../../_images/fig_scat_rates5384.png

(b) Phonon scattering rates

Cumulative and spectral thermal conductivity

../../_images/fig_cumu_frequency5385.png

(a) Spectral and cumulative thermal conductivity w.r.t frequency

../../_images/fig_cumu_mfp5384.png

(b) Spectral and cumulative thermal conductivity w.r.t MFP

Force constants

../../_images/fig_fc212726.png

(a) Force constants w.r.t atomic distance

Summary

../../_images/fig_kappa10211.png

(a) Temperature-dependent lattice thermal conductivity

../../_images/fig_times22037.png

(b) Computation time