mp-22329/NaNd2OsO6/anharm

Harmonic properties

../../_images/fig_bandos_pr13052.png

(a) Phonon dispersion with participation ratio and DOS

../../_images/fig_thermo13052.png

(b) Thermodynamic properties

Grüneisen parameters

../../_images/fig_gru_all5441.png

(a) Grüneisen parameters

../../_images/fig_gruneisen5441.png

(b) Phonon dispersion with Grüneisen parameters

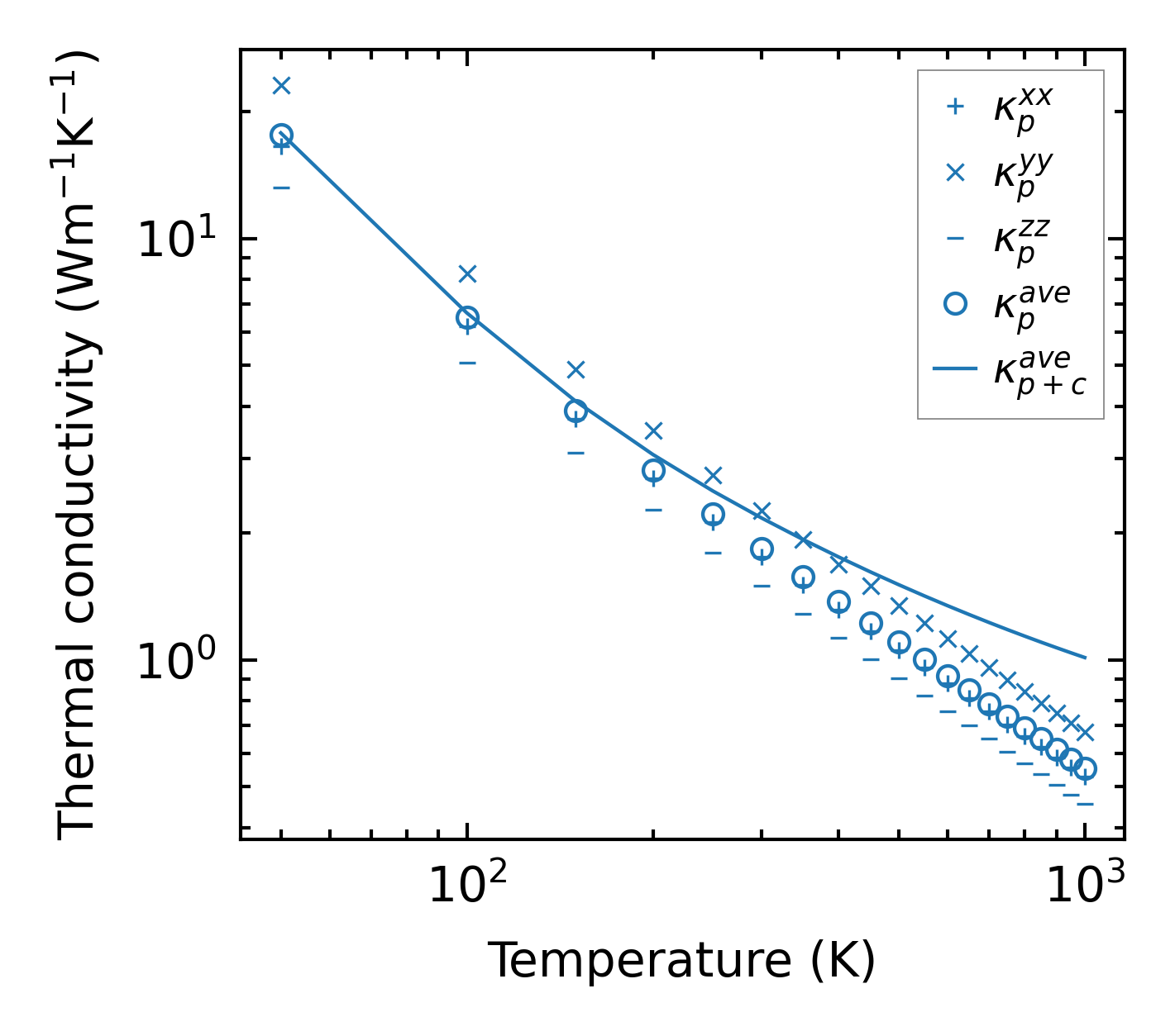
Thermal conductivity

3-phonon (LASSO) — q-mesh: 14x12x8, supercell: 2x2x1

../../_images/fig_kappa10218.png

(a) Temperature-dependent lattice thermal conductivity

../../_images/fig_kappa_vs_grain_size5505.png

(b) Peierls lattice thermal conductivity w.r.t grain size

Phonon lifetime and scattering rates

../../_images/fig_lifetime5389.png

(a) Phonon lifetime due to phonon-phonon scattering

../../_images/fig_scat_rates5388.png

(b) Phonon scattering rates

Cumulative and spectral thermal conductivity

../../_images/fig_cumu_frequency5389.png

(a) Spectral and cumulative thermal conductivity w.r.t frequency

../../_images/fig_cumu_mfp5388.png

(b) Spectral and cumulative thermal conductivity w.r.t MFP

Force constants

../../_images/fig_fc212732.png

(a) Force constants w.r.t atomic distance

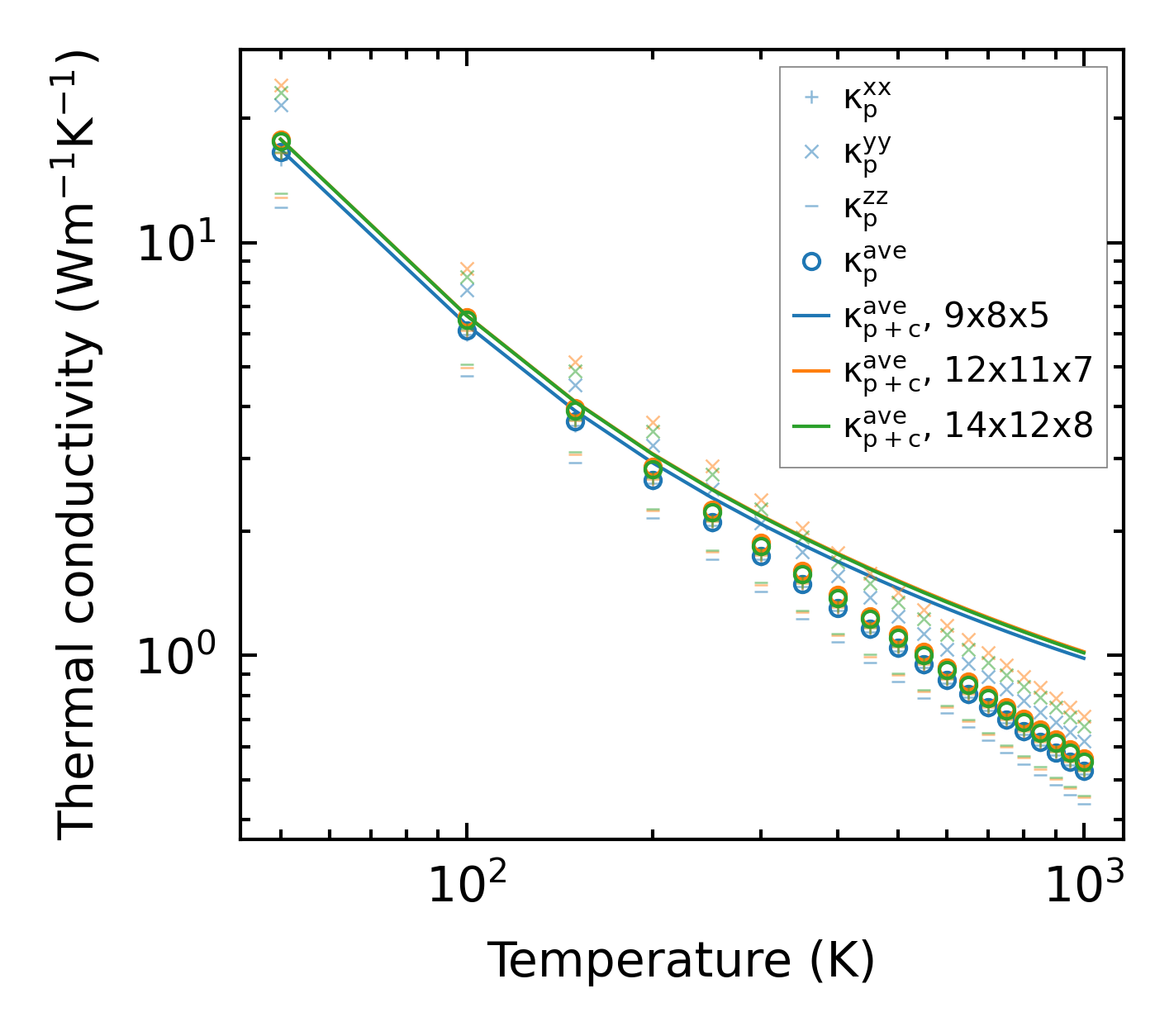
Summary

../../_images/fig_kappa10219.png

(a) Temperature-dependent lattice thermal conductivity

../../_images/fig_times22046.png

(b) Computation time