mp-22355/Sr2InSbO6/anharm

Harmonic properties

../../_images/fig_bandos_pr13053.png

(a) Phonon dispersion with participation ratio and DOS

../../_images/fig_thermo13053.png

(b) Thermodynamic properties

Grüneisen parameters

../../_images/fig_gru_all5442.png

(a) Grüneisen parameters

../../_images/fig_gruneisen5442.png

(b) Phonon dispersion with Grüneisen parameters

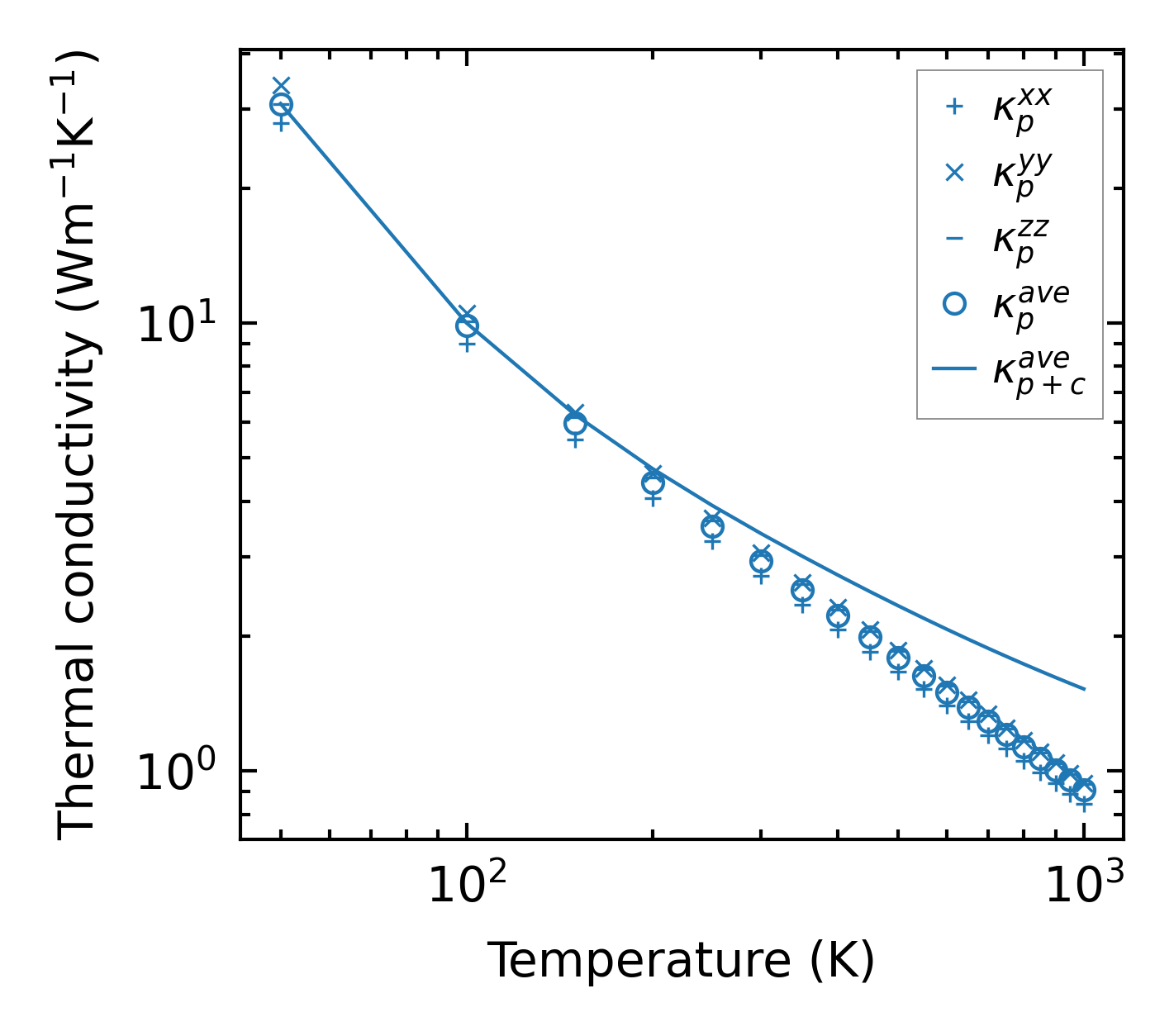
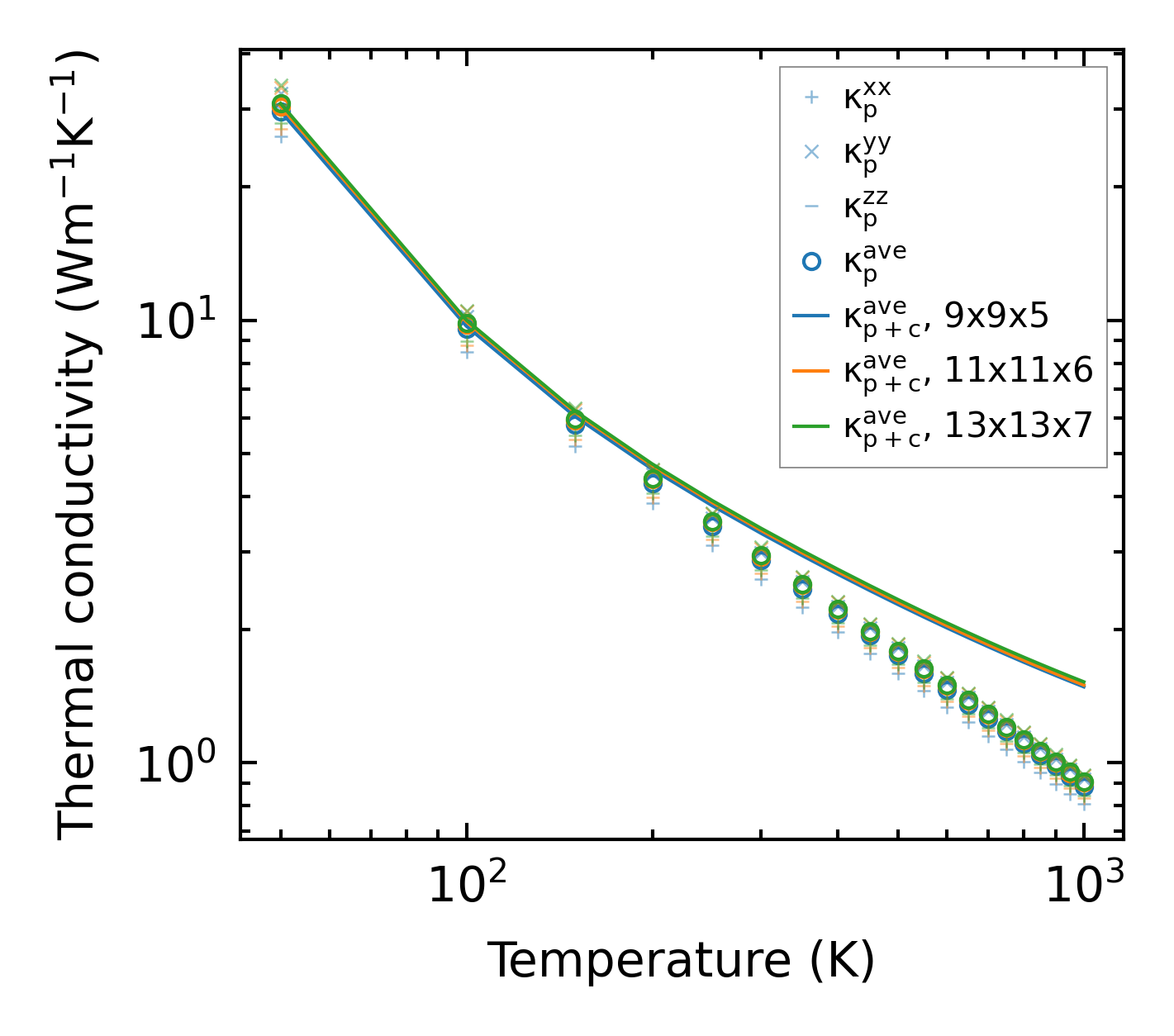
Thermal conductivity

3-phonon (LASSO) — q-mesh: 13x13x7, supercell: 2x2x1

../../_images/fig_kappa10220.png

(a) Temperature-dependent lattice thermal conductivity

../../_images/fig_kappa_vs_grain_size5506.png

(b) Peierls lattice thermal conductivity w.r.t grain size

Phonon lifetime and scattering rates

../../_images/fig_lifetime5390.png

(a) Phonon lifetime due to phonon-phonon scattering

../../_images/fig_scat_rates5389.png

(b) Phonon scattering rates

Cumulative and spectral thermal conductivity

../../_images/fig_cumu_frequency5390.png

(a) Spectral and cumulative thermal conductivity w.r.t frequency

../../_images/fig_cumu_mfp5389.png

(b) Spectral and cumulative thermal conductivity w.r.t MFP

Force constants

../../_images/fig_fc212733.png

(a) Force constants w.r.t atomic distance

Summary

../../_images/fig_kappa10221.png

(a) Temperature-dependent lattice thermal conductivity

../../_images/fig_times22049.png

(b) Computation time