mp-22449-2/InCuP2Se6/anharm

Equation of state

../../_images/fig_bm6519.png

(a) Equation of state

Harmonic properties

../../_images/fig_bandos_pr13064.png

(a) Phonon dispersion with participation ratio and DOS

../../_images/fig_thermo13064.png

(b) Thermodynamic properties

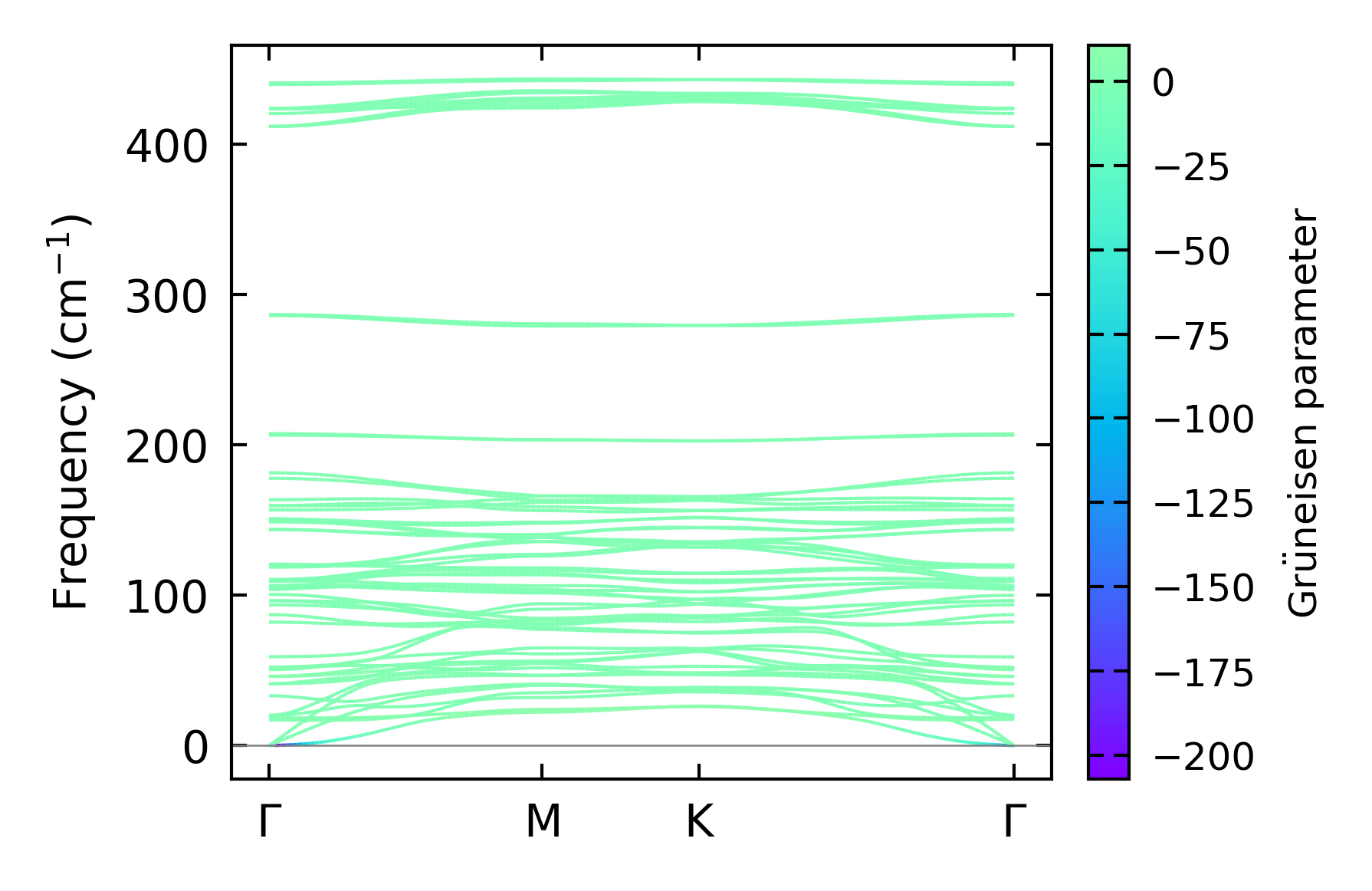
Grüneisen parameters

../../_images/fig_gru_all5450.png

(a) Grüneisen parameters

../../_images/fig_gruneisen5450.png

(b) Phonon dispersion with Grüneisen parameters

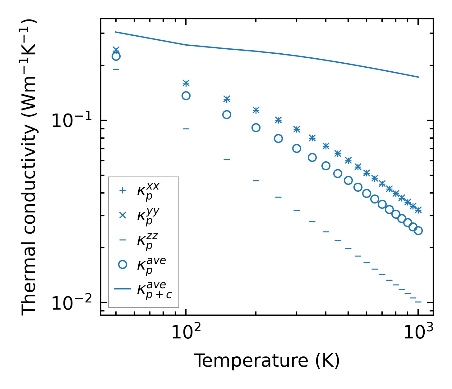
Thermal conductivity

3-phonon (LASSO) — q-mesh: 11x11x5, supercell: 2x2x1

../../_images/fig_kappa10236.png

(a) Temperature-dependent lattice thermal conductivity

../../_images/fig_kappa_vs_grain_size5514.png

(b) Peierls lattice thermal conductivity w.r.t grain size

Phonon lifetime and scattering rates

../../_images/fig_lifetime5398.png

(a) Phonon lifetime due to phonon-phonon scattering

../../_images/fig_scat_rates5397.png

(b) Phonon scattering rates

Cumulative and spectral thermal conductivity

../../_images/fig_cumu_frequency5398.png

(a) Spectral and cumulative thermal conductivity w.r.t frequency

../../_images/fig_cumu_mfp5397.png

(b) Spectral and cumulative thermal conductivity w.r.t MFP

Force constants

../../_images/fig_fc212743.png

(a) Force constants w.r.t atomic distance

Summary

../../_images/fig_kappa10237.png

(a) Temperature-dependent lattice thermal conductivity

../../_images/fig_times22064.png

(b) Computation time