mp-984-2/BN/anharm

Equation of state

../../_images/fig_bm152.png

(a) Equation of state

Harmonic properties

../../_images/fig_bandos_pr485.png

(a) Phonon dispersion with participation ratio and DOS

../../_images/fig_bandos433.png

(b) Phonon dispersion and DOS

../../_images/fig_thermo485.png

(c) Thermodynamic properties

Grüneisen parameters

../../_images/fig_gru_all332.png

(a) Grüneisen parameters

../../_images/fig_gruneisen332.png

(b) Phonon dispersion with Grüneisen parameters

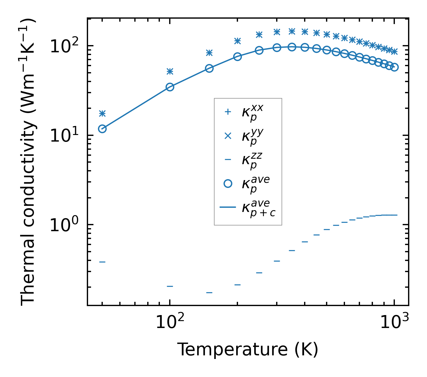
Thermal conductivity

3-phonon (LASSO), supercell 5x5x2 — q-mesh: 30x30x10, supercell: 5x5x2

../../_images/fig_kappa645.png

(a) Temperature-dependent lattice thermal conductivity

../../_images/fig_kappa_vs_grain_size334.png

(b) Peierls lattice thermal conductivity w.r.t grain size

Phonon lifetime and scattering rates

../../_images/fig_lifetime330.png

(a) Phonon lifetime due to phonon-phonon scattering

../../_images/fig_scat_rates329.png

(b) Phonon scattering rates

Cumulative and spectral thermal conductivity

../../_images/fig_cumu_frequency330.png

(a) Spectral and cumulative thermal conductivity w.r.t frequency

../../_images/fig_cumu_mfp330.png

(b) Spectral and cumulative thermal conductivity w.r.t MFP

Force constants

../../_images/fig_fc2411.png

(a) Force constants w.r.t atomic distance

Summary

../../_images/fig_times737.png

(a) Computation time