mp-766-2/As2Ru/anharm

Equation of state

../../_images/fig_bm139.png

(a) Equation of state

Harmonic properties

../../_images/fig_bandos_pr455.png

(a) Phonon dispersion with participation ratio and DOS

../../_images/fig_thermo455.png

(b) Thermodynamic properties

Grüneisen parameters

../../_images/fig_gru_all310.png

(a) Grüneisen parameters

../../_images/fig_gruneisen310.png

(b) Phonon dispersion with Grüneisen parameters

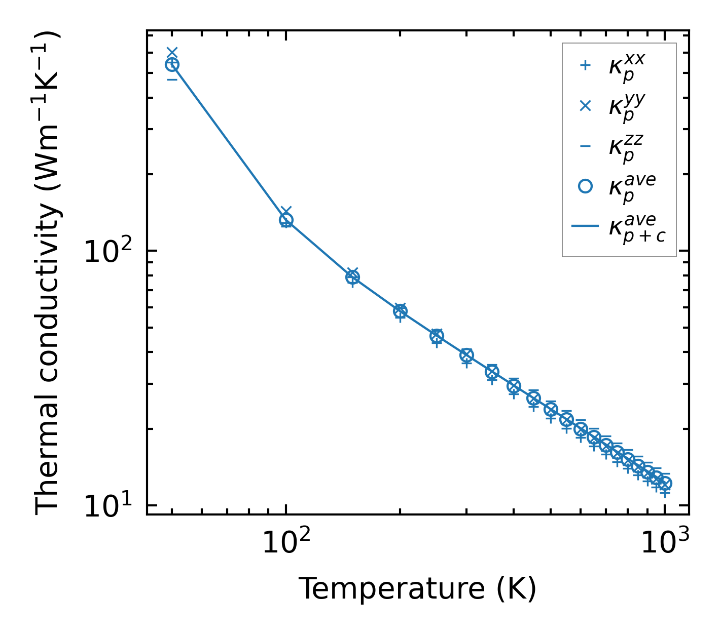
Thermal conductivity

3-phonon (LASSO) — q-mesh: 13x11x24, supercell: 3x2x4

../../_images/fig_kappa603.png

(a) Temperature-dependent lattice thermal conductivity

../../_images/fig_kappa_vs_grain_size312.png

(b) Peierls lattice thermal conductivity w.r.t grain size

Phonon lifetime and scattering rates

../../_images/fig_lifetime308.png

(a) Phonon lifetime due to phonon-phonon scattering

../../_images/fig_scat_rates307.png

(b) Phonon scattering rates

Cumulative and spectral thermal conductivity

../../_images/fig_cumu_frequency308.png

(a) Spectral and cumulative thermal conductivity w.r.t frequency

../../_images/fig_cumu_mfp308.png

(b) Spectral and cumulative thermal conductivity w.r.t MFP

Force constants

../../_images/fig_fc2381.png

(a) Force constants w.r.t atomic distance

Summary

../../_images/fig_kappa604.png

(a) Temperature-dependent lattice thermal conductivity

../../_images/fig_times695.png

(b) Computation time