mp-380-2/ZnSe/anharm

Equation of state

../../_images/fig_bm104.png

(a) Equation of state

Harmonic properties

../../_images/fig_bandos_pr372.png

(a) Phonon dispersion with participation ratio and DOS

../../_images/fig_thermo372.png

(b) Thermodynamic properties

Grüneisen parameters

../../_images/fig_gru_all254.png

(a) Grüneisen parameters

../../_images/fig_gruneisen254.png

(b) Phonon dispersion with Grüneisen parameters

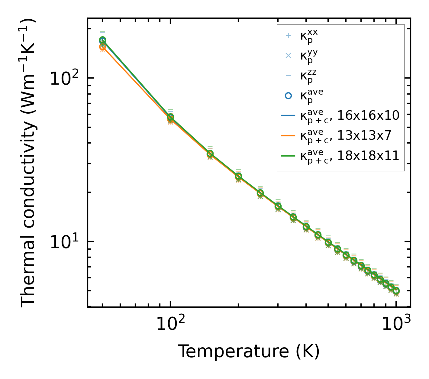
Thermal conductivity

3-phonon (LASSO) — q-mesh: 18x18x11, supercell: 4x4x2

../../_images/fig_kappa500.png

(a) Temperature-dependent lattice thermal conductivity

../../_images/fig_kappa_vs_grain_size257.png

(b) Peierls lattice thermal conductivity w.r.t grain size

Phonon lifetime and scattering rates

../../_images/fig_lifetime253.png

(a) Phonon lifetime due to phonon-phonon scattering

../../_images/fig_scat_rates252.png

(b) Phonon scattering rates

Cumulative and spectral thermal conductivity

../../_images/fig_cumu_frequency253.png

(a) Spectral and cumulative thermal conductivity w.r.t frequency

../../_images/fig_cumu_mfp253.png

(b) Spectral and cumulative thermal conductivity w.r.t MFP

Force constants

../../_images/fig_fc2307.png

(a) Force constants w.r.t atomic distance

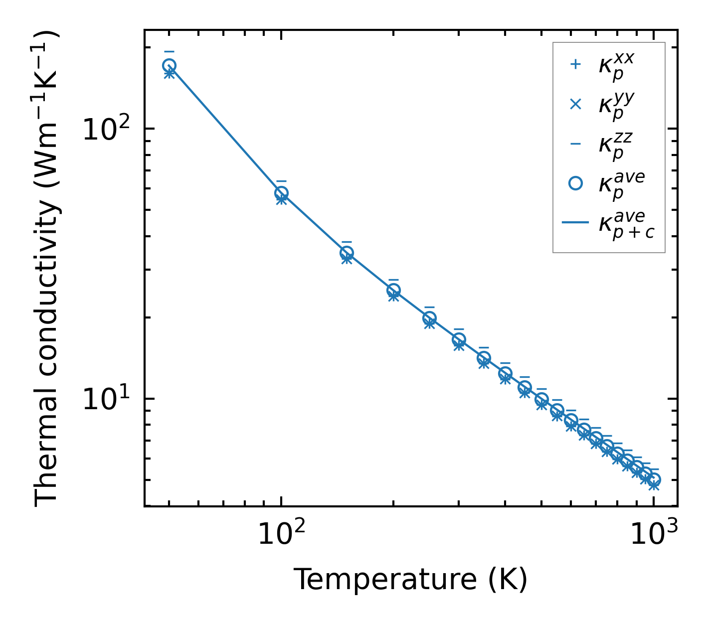
Summary

../../_images/fig_kappa501.png

(a) Temperature-dependent lattice thermal conductivity

../../_images/fig_times593.png

(b) Computation time