mp-473-2/Na3P11/anharm

Equation of state

../../_images/fig_bm116.png

(a) Equation of state

Harmonic properties

../../_images/fig_bandos_pr397.png

(a) Phonon dispersion with participation ratio and DOS

../../_images/fig_bandos371.png

(b) Phonon dispersion and DOS

../../_images/fig_thermo397.png

(c) Thermodynamic properties

Grüneisen parameters

../../_images/fig_gru_all275.png

(a) Grüneisen parameters

../../_images/fig_gruneisen275.png

(b) Phonon dispersion with Grüneisen parameters

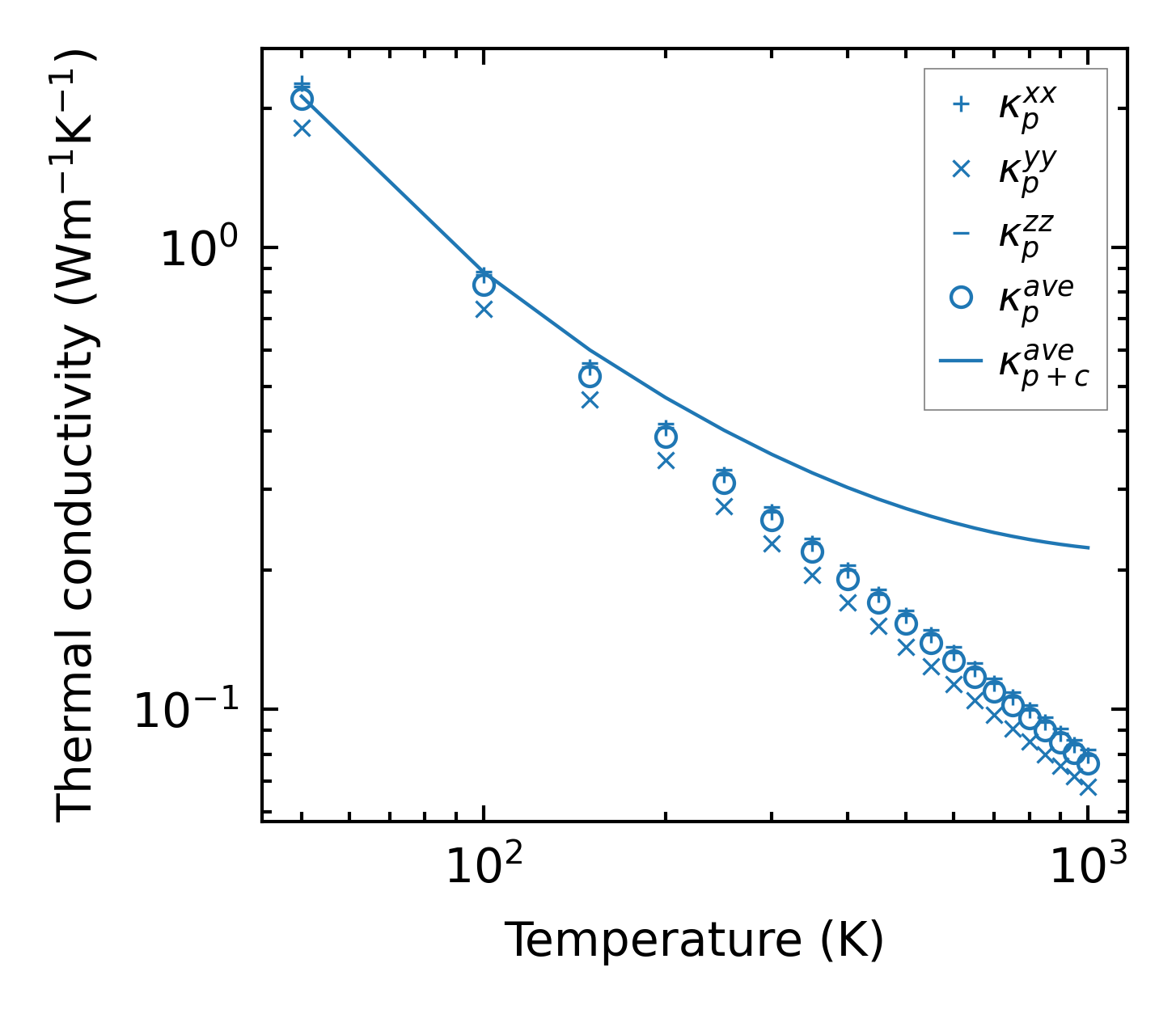
Thermal conductivity

3-phonon (LASSO), supercell 2x1x2 — q-mesh: 7x5x7, supercell: 2x1x2

../../_images/fig_kappa539.png

(a) Temperature-dependent lattice thermal conductivity

../../_images/fig_kappa_vs_grain_size278.png

(b) Peierls lattice thermal conductivity w.r.t grain size

Phonon lifetime and scattering rates

../../_images/fig_lifetime274.png

(a) Phonon lifetime due to phonon-phonon scattering

../../_images/fig_scat_rates273.png

(b) Phonon scattering rates

Cumulative and spectral thermal conductivity

../../_images/fig_cumu_frequency274.png

(a) Spectral and cumulative thermal conductivity w.r.t frequency

../../_images/fig_cumu_mfp274.png

(b) Spectral and cumulative thermal conductivity w.r.t MFP

Force constants

../../_images/fig_fc2328.png

(a) Force constants w.r.t atomic distance

Summary

../../_images/fig_times625.png

(a) Computation time