mp-468-2/AlF3/anharm

Equation of state

../../_images/fig_bm112.png

(a) Equation of state

Harmonic properties

../../_images/fig_bandos_pr390.png

(a) Phonon dispersion with participation ratio and DOS

../../_images/fig_thermo390.png

(b) Thermodynamic properties

Grüneisen parameters

../../_images/fig_gru_all269.png

(a) Grüneisen parameters

../../_images/fig_gruneisen269.png

(b) Phonon dispersion with Grüneisen parameters

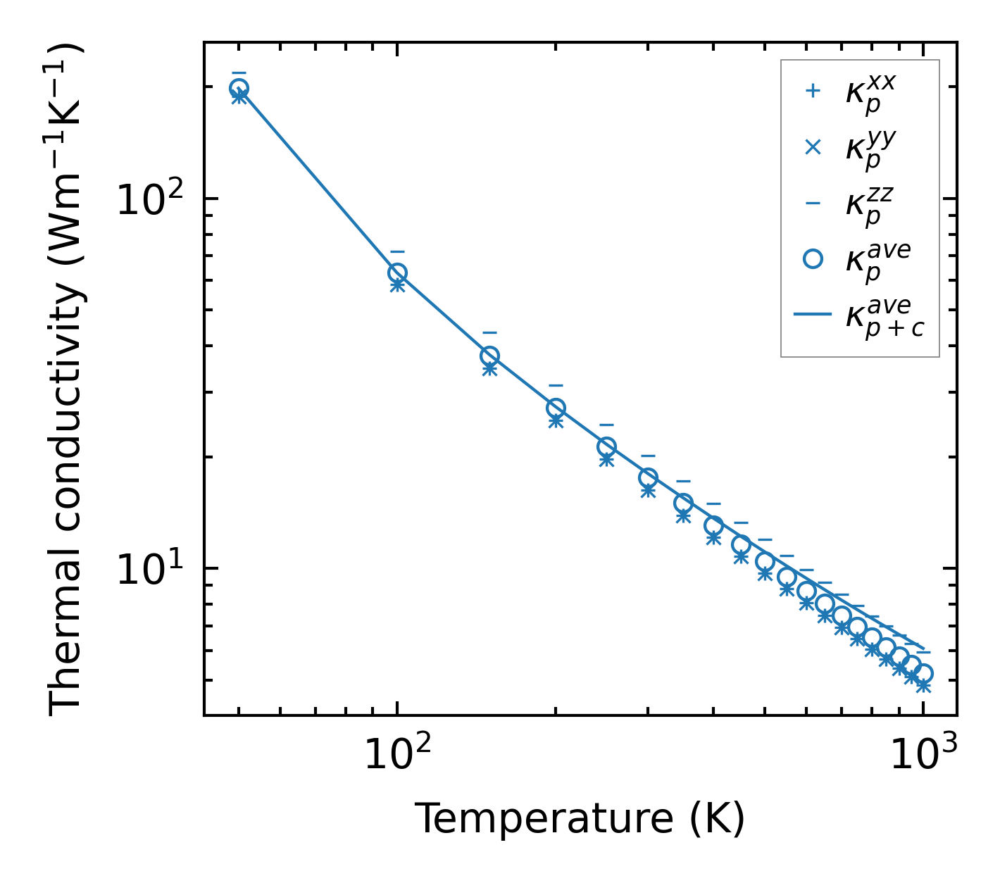
Thermal conductivity

3-phonon (LASSO) — q-mesh: 16x16x16, supercell: 2x2x1

../../_images/fig_kappa529.png

(a) Temperature-dependent lattice thermal conductivity

../../_images/fig_kappa_vs_grain_size272.png

(b) Peierls lattice thermal conductivity w.r.t grain size

Phonon lifetime and scattering rates

../../_images/fig_lifetime268.png

(a) Phonon lifetime due to phonon-phonon scattering

../../_images/fig_scat_rates267.png

(b) Phonon scattering rates

Cumulative and spectral thermal conductivity

../../_images/fig_cumu_frequency268.png

(a) Spectral and cumulative thermal conductivity w.r.t frequency

../../_images/fig_cumu_mfp268.png

(b) Spectral and cumulative thermal conductivity w.r.t MFP

Force constants

../../_images/fig_fc2321.png

(a) Force constants w.r.t atomic distance

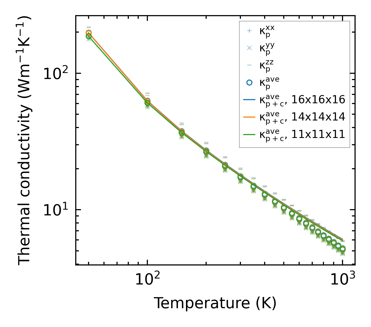
Summary

../../_images/fig_kappa530.png

(a) Temperature-dependent lattice thermal conductivity

../../_images/fig_times617.png

(b) Computation time