mp-241-2/CdF2/anharm

Equation of state

../../_images/fig_bm90.png

(a) Equation of state

Harmonic properties

../../_images/fig_bandos_pr349.png

(a) Phonon dispersion with participation ratio and DOS

../../_images/fig_thermo349.png

(b) Thermodynamic properties

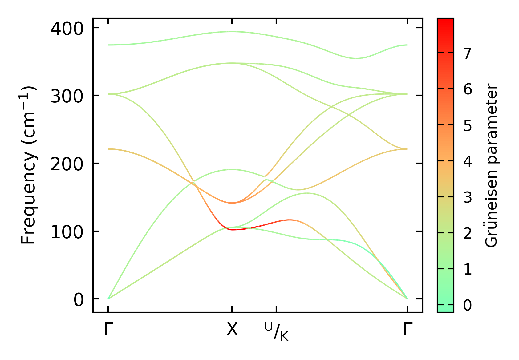
Grüneisen parameters

../../_images/fig_gru_all239.png

(a) Grüneisen parameters

../../_images/fig_gruneisen239.png

(b) Phonon dispersion with Grüneisen parameters

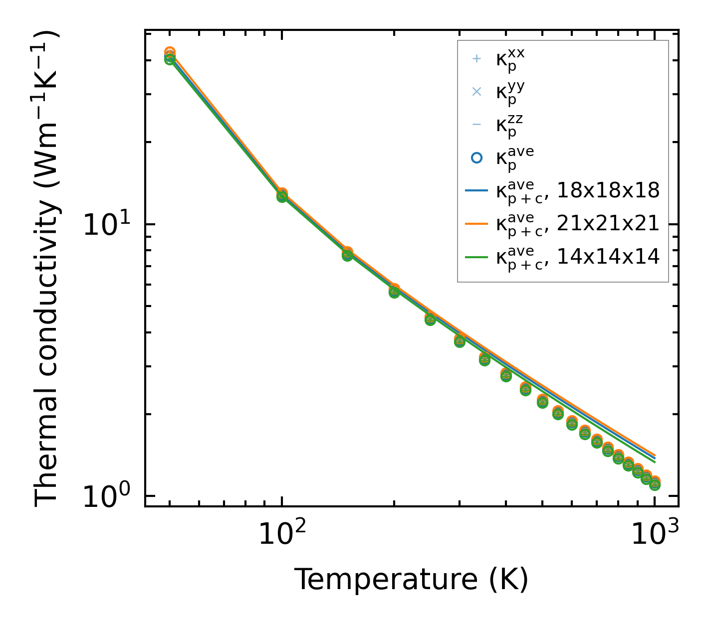
Thermal conductivity

3-phonon — q-mesh: 21x21x21, supercell: 2x2x2

../../_images/fig_kappa470.png

(a) Temperature-dependent lattice thermal conductivity

../../_images/fig_kappa_vs_grain_size242.png

(b) Peierls lattice thermal conductivity w.r.t grain size

Phonon lifetime and scattering rates

../../_images/fig_lifetime238.png

(a) Phonon lifetime due to phonon-phonon scattering

../../_images/fig_scat_rates237.png

(b) Phonon scattering rates

Cumulative and spectral thermal conductivity

../../_images/fig_cumu_frequency238.png

(a) Spectral and cumulative thermal conductivity w.r.t frequency

../../_images/fig_cumu_mfp238.png

(b) Spectral and cumulative thermal conductivity w.r.t MFP

Force constants

../../_images/fig_fc357.png

(a) Force constants w.r.t atomic distance

Summary

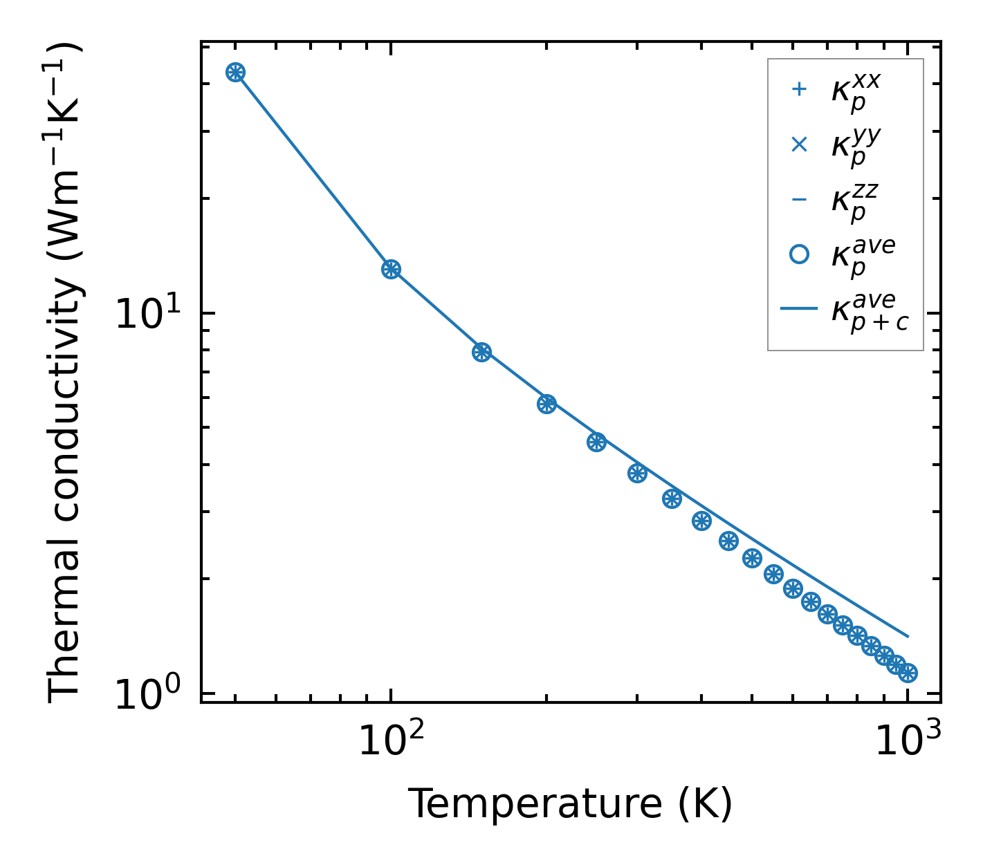
../../_images/fig_kappa471.png

(a) Temperature-dependent lattice thermal conductivity

../../_images/fig_times556.png

(b) Computation time