mp-147-2/Se/anharm

Harmonic properties

../../_images/fig_bandos_pr321.png

(a) Phonon dispersion with participation ratio and DOS

../../_images/fig_thermo321.png

(b) Thermodynamic properties

Grüneisen parameters

../../_images/fig_gru_all221.png

(a) Grüneisen parameters

../../_images/fig_gruneisen221.png

(b) Phonon dispersion with Grüneisen parameters

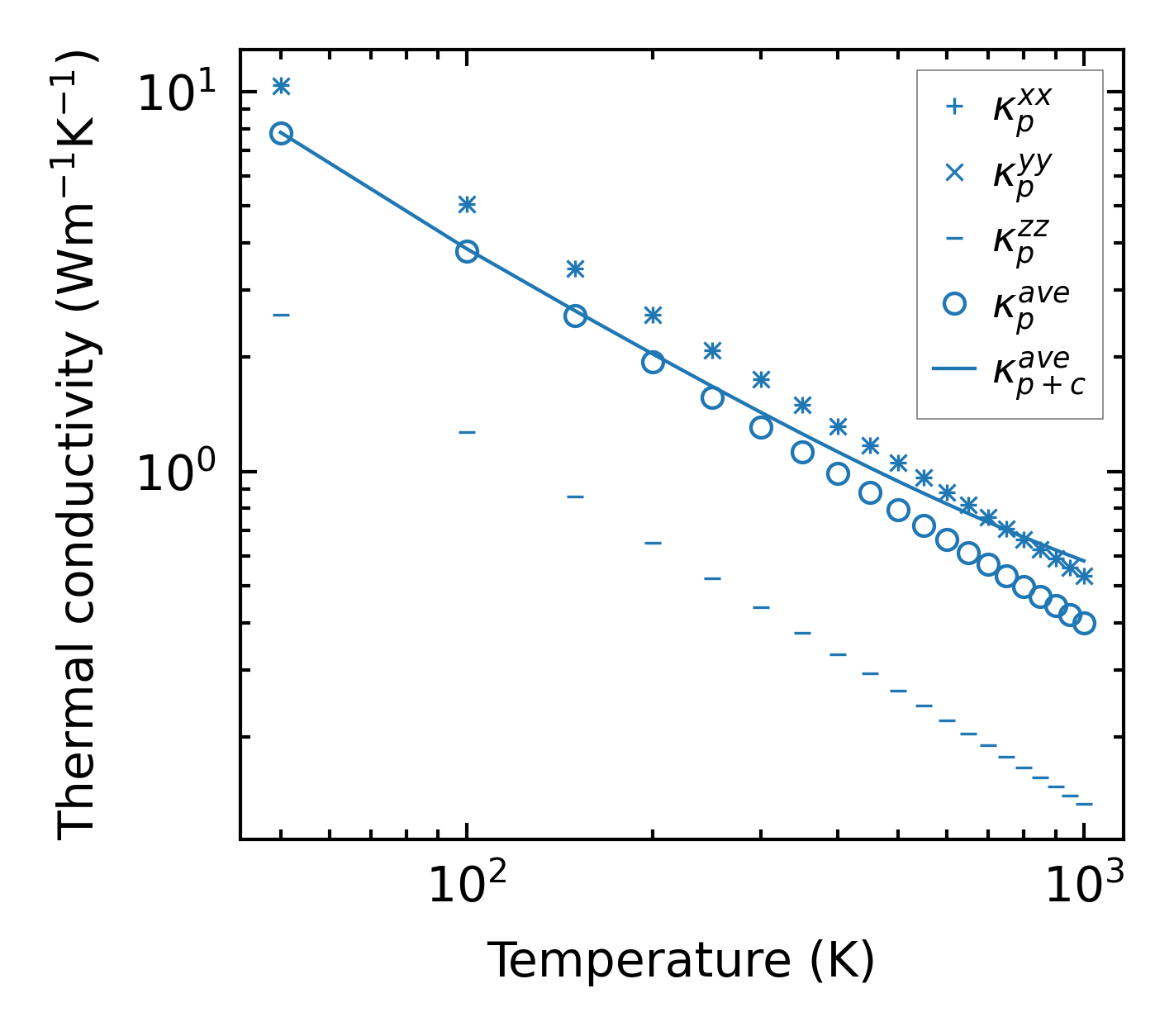
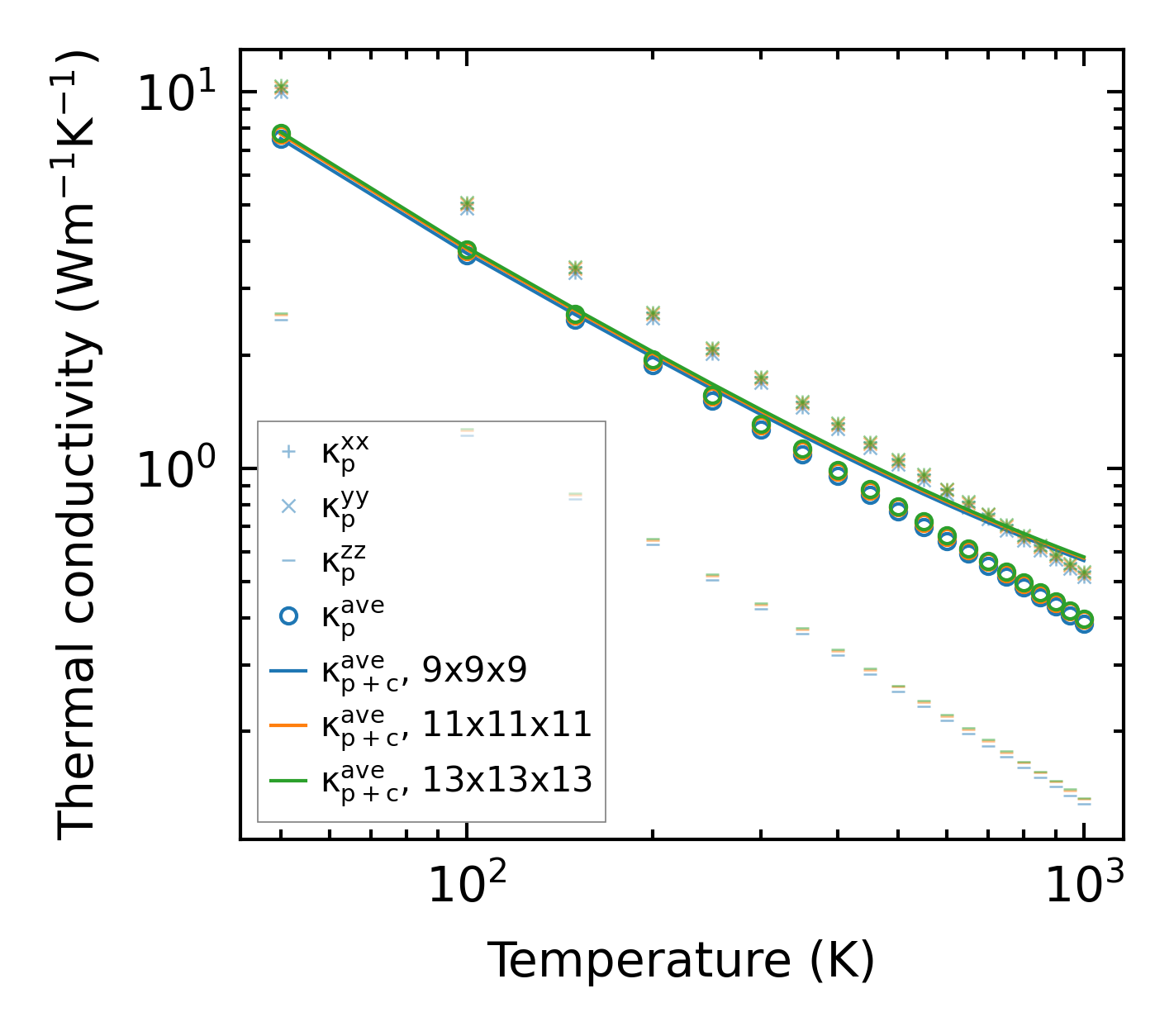
Thermal conductivity

3-phonon (LASSO) — q-mesh: 13x13x13, supercell: 2x2x2

../../_images/fig_kappa434.png

(a) Temperature-dependent lattice thermal conductivity

../../_images/fig_kappa_vs_grain_size224.png

(b) Peierls lattice thermal conductivity w.r.t grain size

Phonon lifetime and scattering rates

../../_images/fig_lifetime220.png

(a) Phonon lifetime due to phonon-phonon scattering

../../_images/fig_scat_rates219.png

(b) Phonon scattering rates

Cumulative and spectral thermal conductivity

../../_images/fig_cumu_frequency220.png

(a) Spectral and cumulative thermal conductivity w.r.t frequency

../../_images/fig_cumu_mfp220.png

(b) Spectral and cumulative thermal conductivity w.r.t MFP

Force constants

../../_images/fig_fc2267.png

(a) Force constants w.r.t atomic distance

Summary

../../_images/fig_kappa435.png

(a) Temperature-dependent lattice thermal conductivity

../../_images/fig_times523.png

(b) Computation time