mp-470-2/GeO2/anharm

Equation of state

../../_images/fig_bm113.png

(a) Equation of state

Harmonic properties

../../_images/fig_bandos_pr393.png

(a) Phonon dispersion with participation ratio and DOS

../../_images/fig_thermo393.png

(b) Thermodynamic properties

Grüneisen parameters

../../_images/fig_gru_all272.png

(a) Grüneisen parameters

../../_images/fig_gruneisen272.png

(b) Phonon dispersion with Grüneisen parameters

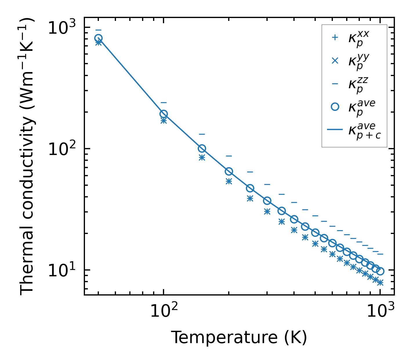
Thermal conductivity

3-phonon (LASSO) — q-mesh: 16x16x24, supercell: 2x2x4

../../_images/fig_kappa535.png

(a) Temperature-dependent lattice thermal conductivity

../../_images/fig_kappa_vs_grain_size275.png

(b) Peierls lattice thermal conductivity w.r.t grain size

Phonon lifetime and scattering rates

../../_images/fig_lifetime271.png

(a) Phonon lifetime due to phonon-phonon scattering

../../_images/fig_scat_rates270.png

(b) Phonon scattering rates

Cumulative and spectral thermal conductivity

../../_images/fig_cumu_frequency271.png

(a) Spectral and cumulative thermal conductivity w.r.t frequency

../../_images/fig_cumu_mfp271.png

(b) Spectral and cumulative thermal conductivity w.r.t MFP

Force constants

../../_images/fig_fc2324.png

(a) Force constants w.r.t atomic distance

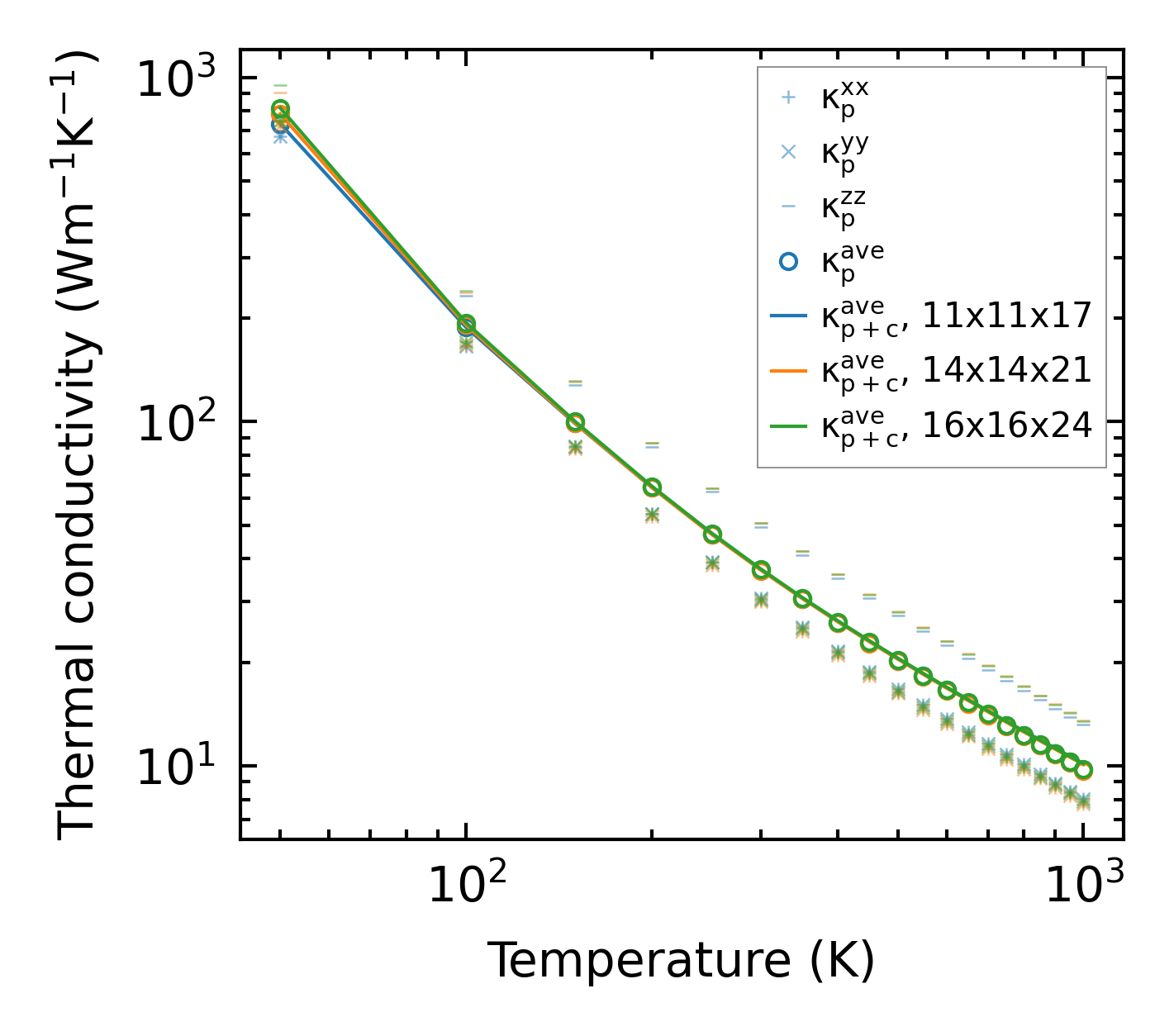
Summary

../../_images/fig_kappa536.png

(a) Temperature-dependent lattice thermal conductivity

../../_images/fig_times620.png

(b) Computation time