mp-66/C/anharm

Harmonic properties

../../_images/fig_bandos_pr424.png

(a) Phonon dispersion with participation ratio and DOS

../../_images/fig_thermo424.png

(b) Thermodynamic properties

Grüneisen parameters

../../_images/fig_gru_all288.png

(a) Grüneisen parameters

../../_images/fig_gruneisen288.png

(b) Phonon dispersion with Grüneisen parameters

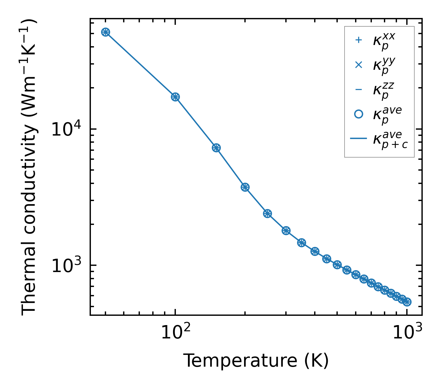
Thermal conductivity

3-phonon — q-mesh: 32x32x32, supercell: 2x2x2

../../_images/fig_kappa562.png

(a) Temperature-dependent lattice thermal conductivity

../../_images/fig_kappa_vs_grain_size291.png

(b) Peierls lattice thermal conductivity w.r.t grain size

Phonon lifetime and scattering rates

../../_images/fig_lifetime287.png

(a) Phonon lifetime due to phonon-phonon scattering

../../_images/fig_scat_rates286.png

(b) Phonon scattering rates

Cumulative and spectral thermal conductivity

../../_images/fig_cumu_frequency287.png

(a) Spectral and cumulative thermal conductivity w.r.t frequency

../../_images/fig_cumu_mfp287.png

(b) Spectral and cumulative thermal conductivity w.r.t MFP

Force constants

../../_images/fig_fc372.png

(a) Force constants w.r.t atomic distance

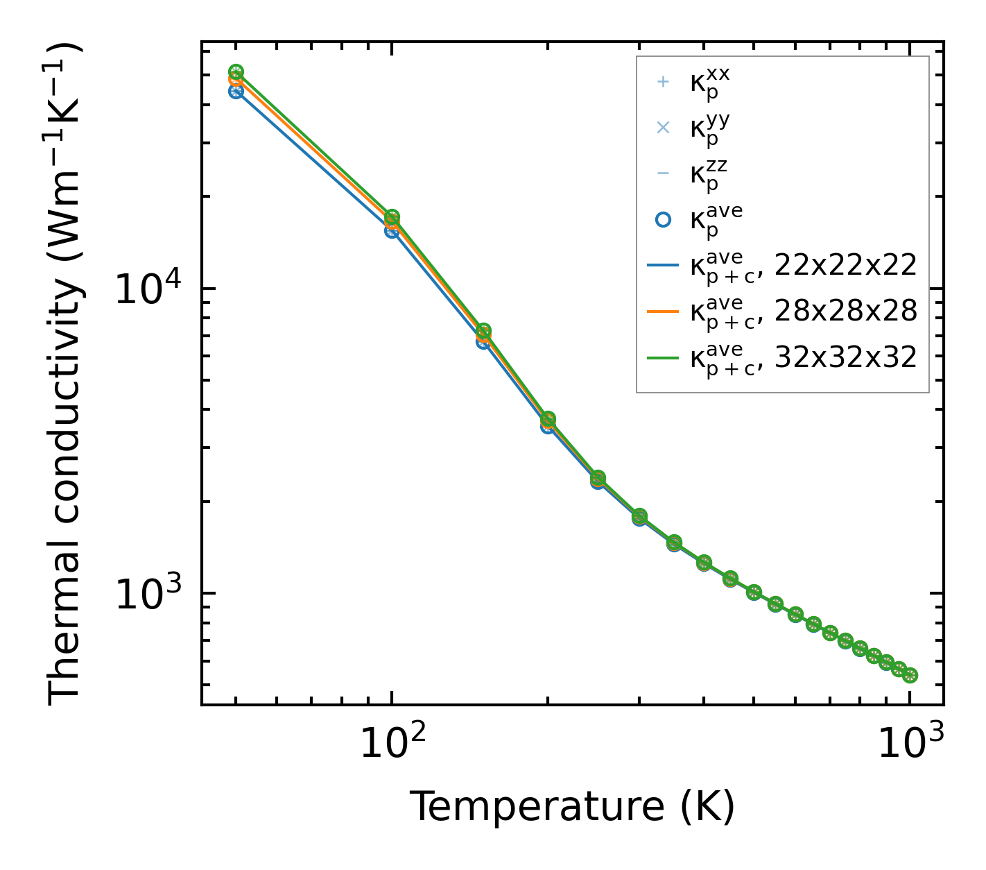
Summary

../../_images/fig_kappa563.png

(a) Temperature-dependent lattice thermal conductivity

../../_images/fig_times658.png

(b) Computation time