mp-909/As2Se3/anharm

Harmonic properties

../../_images/fig_bandos_pr469.png

(a) Phonon dispersion with participation ratio and DOS

../../_images/fig_thermo469.png

(b) Thermodynamic properties

Grüneisen parameters

../../_images/fig_gru_all320.png

(a) Grüneisen parameters

../../_images/fig_gruneisen320.png

(b) Phonon dispersion with Grüneisen parameters

Thermal conductivity

3-phonon (LASSO) — q-mesh: 18x7x5, supercell: 3x2x1

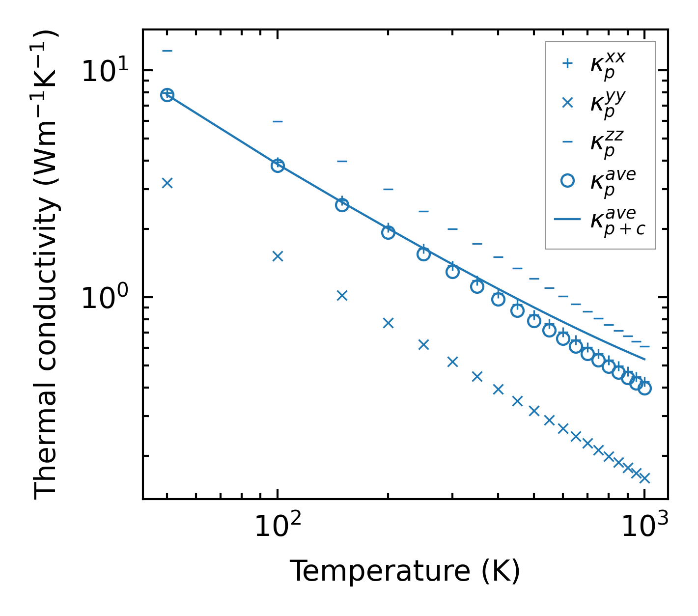
../../_images/fig_kappa622.png

(a) Temperature-dependent lattice thermal conductivity

../../_images/fig_kappa_vs_grain_size322.png

(b) Peierls lattice thermal conductivity w.r.t grain size

Phonon lifetime and scattering rates

../../_images/fig_lifetime318.png

(a) Phonon lifetime due to phonon-phonon scattering

../../_images/fig_scat_rates317.png

(b) Phonon scattering rates

Cumulative and spectral thermal conductivity

../../_images/fig_cumu_frequency318.png

(a) Spectral and cumulative thermal conductivity w.r.t frequency

../../_images/fig_cumu_mfp318.png

(b) Spectral and cumulative thermal conductivity w.r.t MFP

Force constants

../../_images/fig_fc2395.png

(a) Force constants w.r.t atomic distance

Summary

../../_images/fig_kappa623.png

(a) Temperature-dependent lattice thermal conductivity

../../_images/fig_times716.png

(b) Computation time