mp-149/Si/anharm

Equation of state

../../_images/fig_bm76.png

(a) Equation of state

Harmonic properties

../../_images/fig_bandos_pr322.png

(a) Phonon dispersion with participation ratio and DOS

../../_images/fig_thermo322.png

(b) Thermodynamic properties

Grüneisen parameters

../../_images/fig_gru_all222.png

(a) Grüneisen parameters

../../_images/fig_gruneisen222.png

(b) Phonon dispersion with Grüneisen parameters

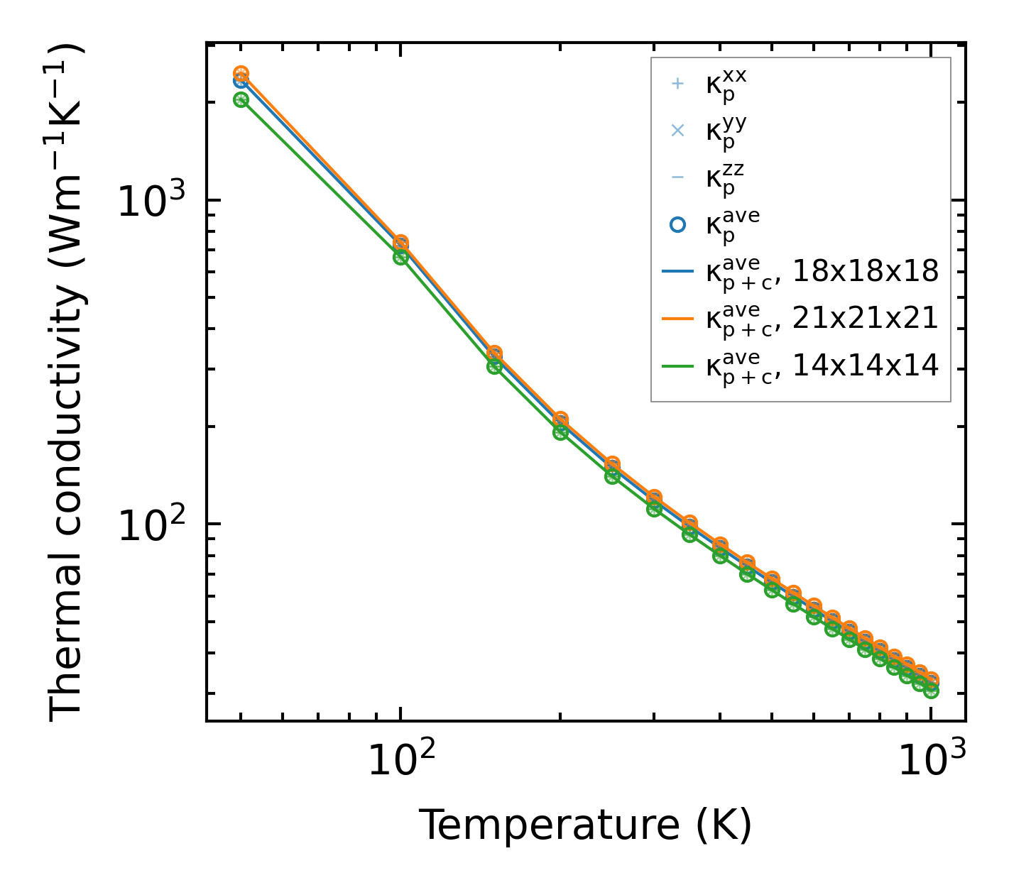
Thermal conductivity

3-phonon — q-mesh: 21x21x21, supercell: 2x2x2

../../_images/fig_kappa436.png

(a) Temperature-dependent lattice thermal conductivity

../../_images/fig_kappa_vs_grain_size225.png

(b) Peierls lattice thermal conductivity w.r.t grain size

Phonon lifetime and scattering rates

../../_images/fig_lifetime221.png

(a) Phonon lifetime due to phonon-phonon scattering

../../_images/fig_scat_rates220.png

(b) Phonon scattering rates

Cumulative and spectral thermal conductivity

../../_images/fig_cumu_frequency221.png

(a) Spectral and cumulative thermal conductivity w.r.t frequency

../../_images/fig_cumu_mfp221.png

(b) Spectral and cumulative thermal conductivity w.r.t MFP

Force constants

../../_images/fig_fc354.png

(a) Force constants w.r.t atomic distance

Summary

../../_images/fig_kappa437.png

(a) Temperature-dependent lattice thermal conductivity

../../_images/fig_times524.png

(b) Computation time