mp-241/CdF2/anharm

Harmonic properties

../../_images/fig_bandos_pr348.png

(a) Phonon dispersion with participation ratio and DOS

../../_images/fig_thermo348.png

(b) Thermodynamic properties

Grüneisen parameters

../../_images/fig_gru_all238.png

(a) Grüneisen parameters

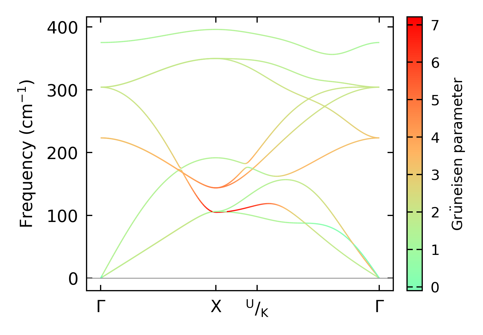
../../_images/fig_gruneisen238.png

(b) Phonon dispersion with Grüneisen parameters

Thermal conductivity

3-phonon (LASSO) — q-mesh: 21x21x21, supercell: 2x2x2

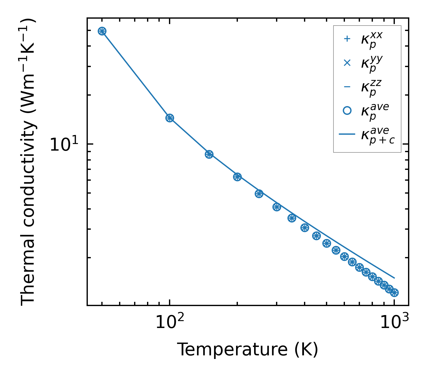
../../_images/fig_kappa468.png

(a) Temperature-dependent lattice thermal conductivity

../../_images/fig_kappa_vs_grain_size241.png

(b) Peierls lattice thermal conductivity w.r.t grain size

Phonon lifetime and scattering rates

../../_images/fig_lifetime237.png

(a) Phonon lifetime due to phonon-phonon scattering

../../_images/fig_scat_rates236.png

(b) Phonon scattering rates

Cumulative and spectral thermal conductivity

../../_images/fig_cumu_frequency237.png

(a) Spectral and cumulative thermal conductivity w.r.t frequency

../../_images/fig_cumu_mfp237.png

(b) Spectral and cumulative thermal conductivity w.r.t MFP

Force constants

../../_images/fig_fc2291.png

(a) Force constants w.r.t atomic distance

Summary

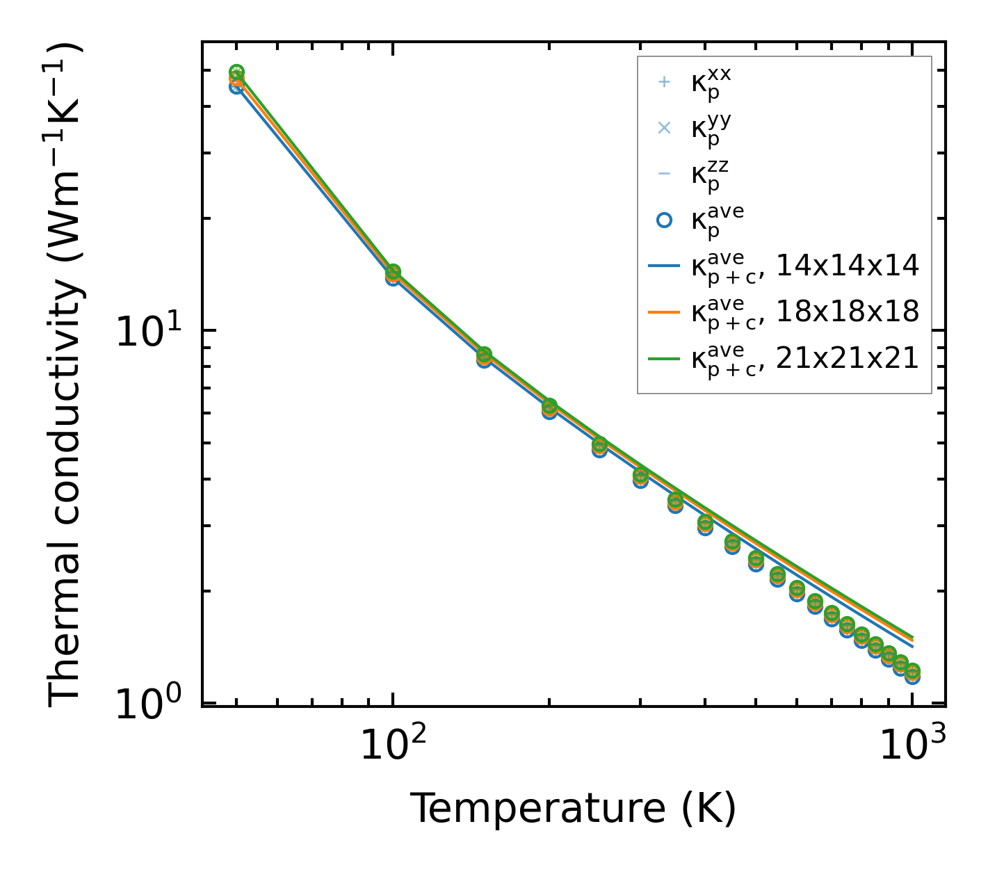
../../_images/fig_kappa469.png

(a) Temperature-dependent lattice thermal conductivity

../../_images/fig_times555.png

(b) Computation time