mp-700/GeSe/anharm

Harmonic properties

../../_images/fig_bandos_pr438.png

(a) Phonon dispersion with participation ratio and DOS

../../_images/fig_thermo438.png

(b) Thermodynamic properties

Grüneisen parameters

../../_images/fig_gru_all297.png

(a) Grüneisen parameters

../../_images/fig_gruneisen297.png

(b) Phonon dispersion with Grüneisen parameters

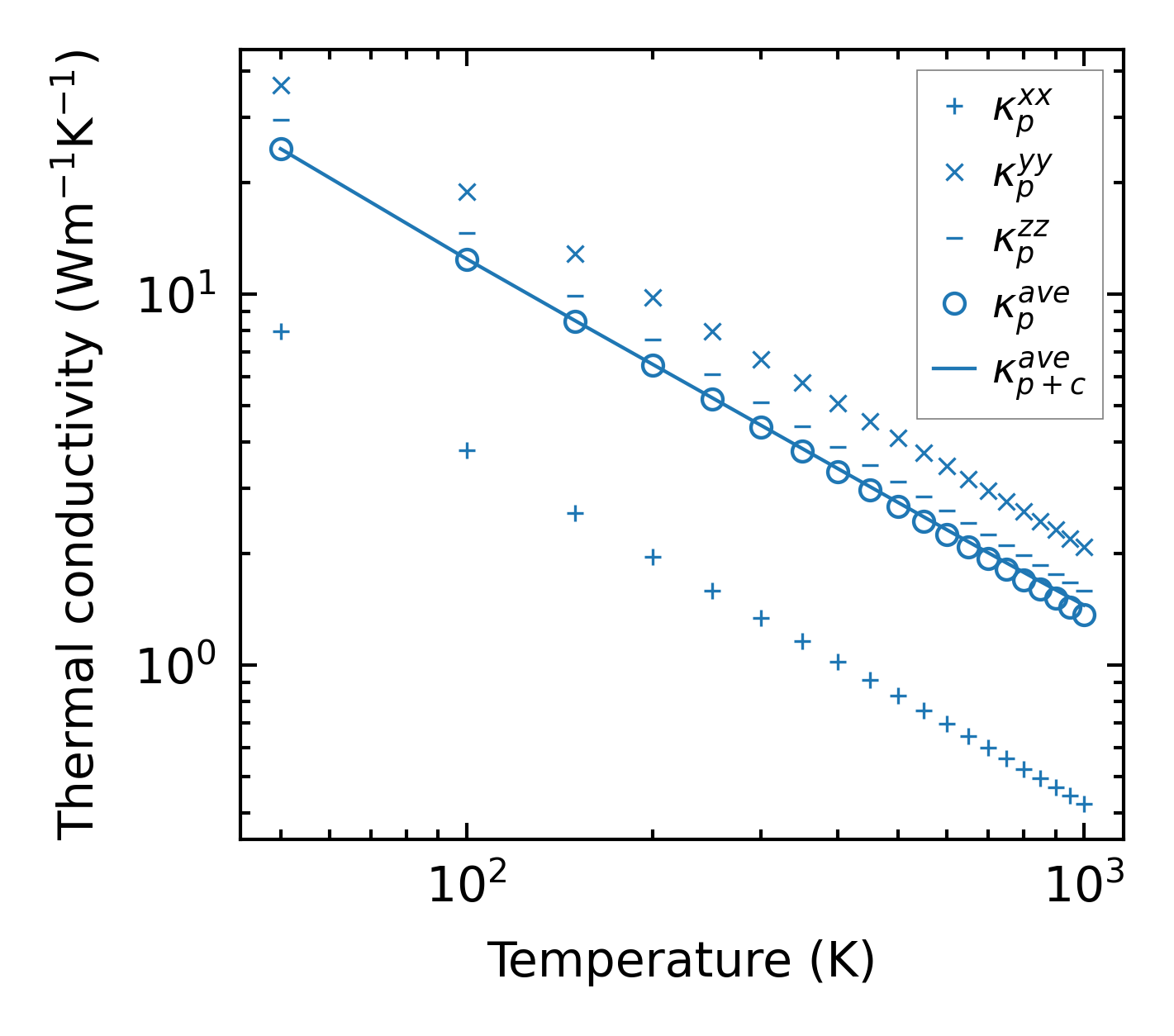
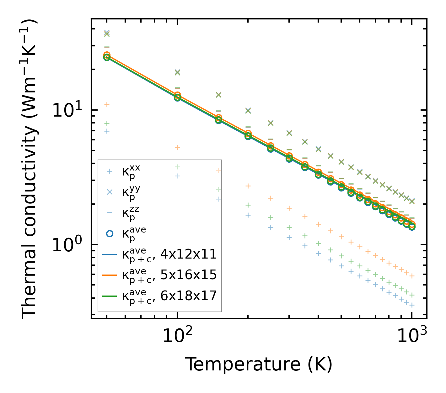
Thermal conductivity

3-phonon (LASSO) — q-mesh: 6x18x17, supercell: 2x3x3

../../_images/fig_kappa579.png

(a) Temperature-dependent lattice thermal conductivity

../../_images/fig_kappa_vs_grain_size300.png

(b) Peierls lattice thermal conductivity w.r.t grain size

Phonon lifetime and scattering rates

../../_images/fig_lifetime296.png

(a) Phonon lifetime due to phonon-phonon scattering

../../_images/fig_scat_rates295.png

(b) Phonon scattering rates

Cumulative and spectral thermal conductivity

../../_images/fig_cumu_frequency296.png

(a) Spectral and cumulative thermal conductivity w.r.t frequency

../../_images/fig_cumu_mfp296.png

(b) Spectral and cumulative thermal conductivity w.r.t MFP

Force constants

../../_images/fig_fc2364.png

(a) Force constants w.r.t atomic distance

Summary

../../_images/fig_kappa580.png

(a) Temperature-dependent lattice thermal conductivity

../../_images/fig_times674.png

(b) Computation time