mp-766/As2Ru/anharm

Harmonic properties

../../_images/fig_bandos_pr454.png

(a) Phonon dispersion with participation ratio and DOS

../../_images/fig_thermo454.png

(b) Thermodynamic properties

Grüneisen parameters

../../_images/fig_gru_all309.png

(a) Grüneisen parameters

../../_images/fig_gruneisen309.png

(b) Phonon dispersion with Grüneisen parameters

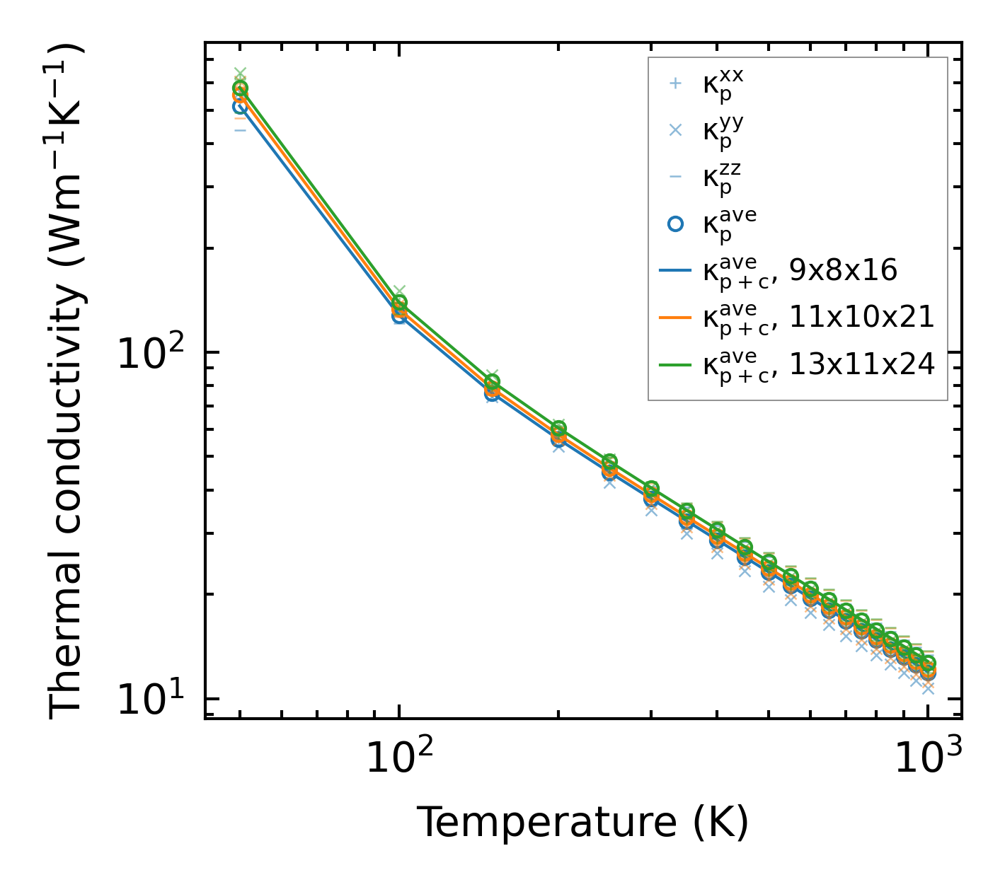
Thermal conductivity

3-phonon (LASSO) — q-mesh: 13x11x24, supercell: 3x2x4

../../_images/fig_kappa601.png

(a) Temperature-dependent lattice thermal conductivity

../../_images/fig_kappa_vs_grain_size311.png

(b) Peierls lattice thermal conductivity w.r.t grain size

Phonon lifetime and scattering rates

../../_images/fig_lifetime307.png

(a) Phonon lifetime due to phonon-phonon scattering

../../_images/fig_scat_rates306.png

(b) Phonon scattering rates

Cumulative and spectral thermal conductivity

../../_images/fig_cumu_frequency307.png

(a) Spectral and cumulative thermal conductivity w.r.t frequency

../../_images/fig_cumu_mfp307.png

(b) Spectral and cumulative thermal conductivity w.r.t MFP

Force constants

../../_images/fig_fc2380.png

(a) Force constants w.r.t atomic distance

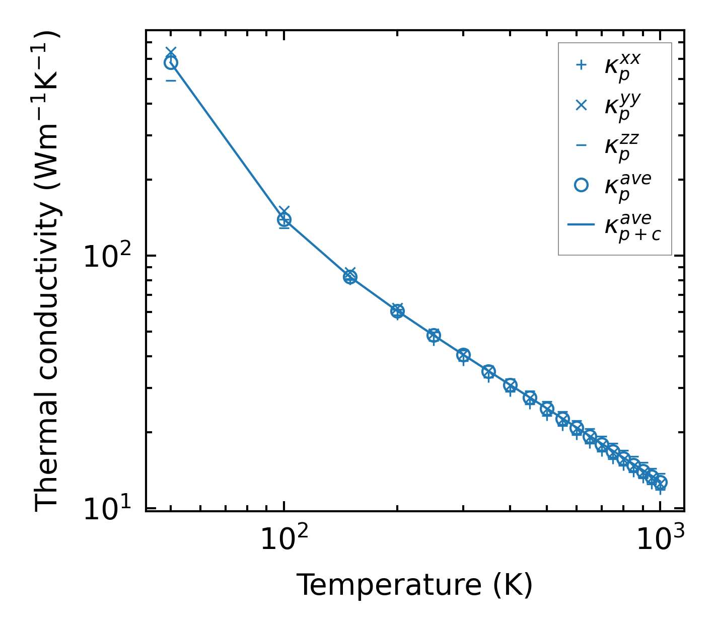
Summary

../../_images/fig_kappa602.png

(a) Temperature-dependent lattice thermal conductivity

../../_images/fig_times694.png

(b) Computation time