mp-160/B/anharm

Harmonic properties

../../_images/fig_bandos_pr325.png

(a) Phonon dispersion with participation ratio and DOS

../../_images/fig_thermo325.png

(b) Thermodynamic properties

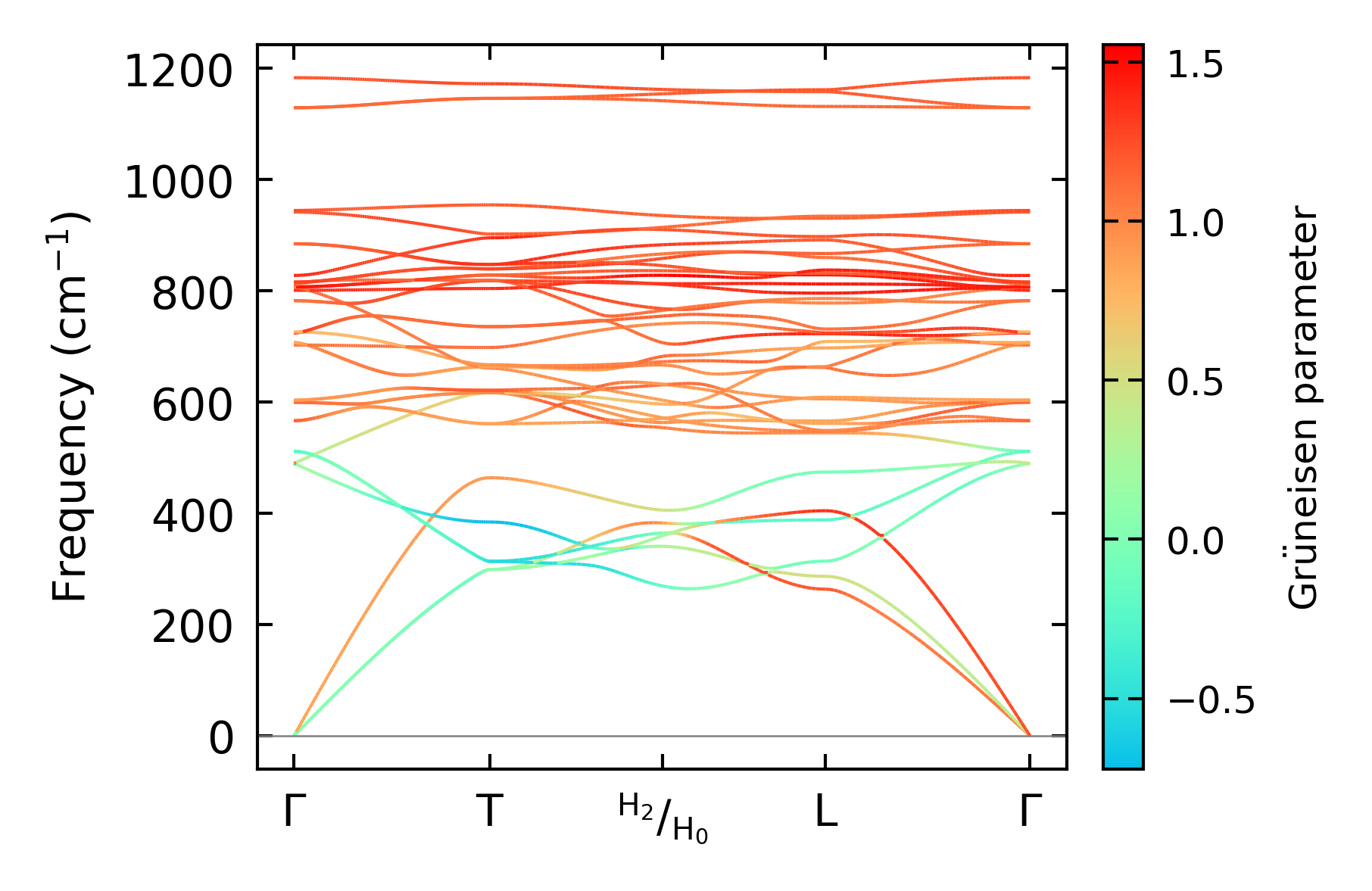
Grüneisen parameters

../../_images/fig_gru_all225.png

(a) Grüneisen parameters

../../_images/fig_gruneisen225.png

(b) Phonon dispersion with Grüneisen parameters

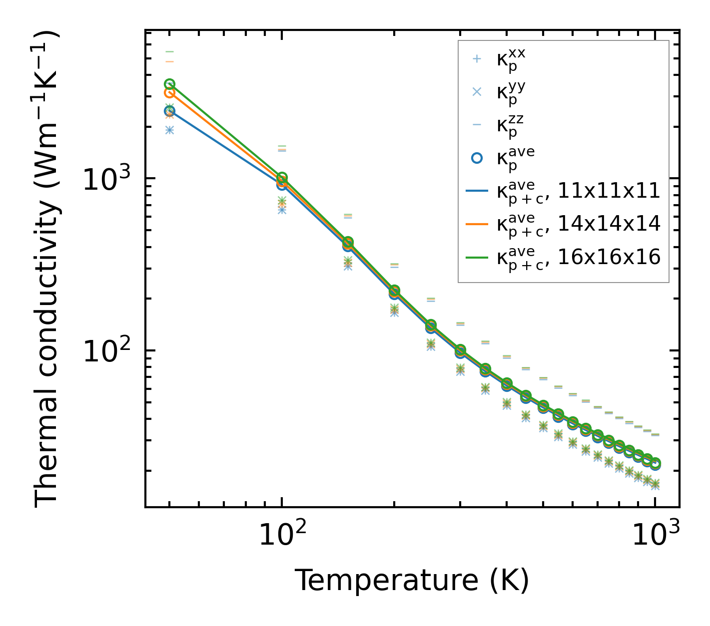
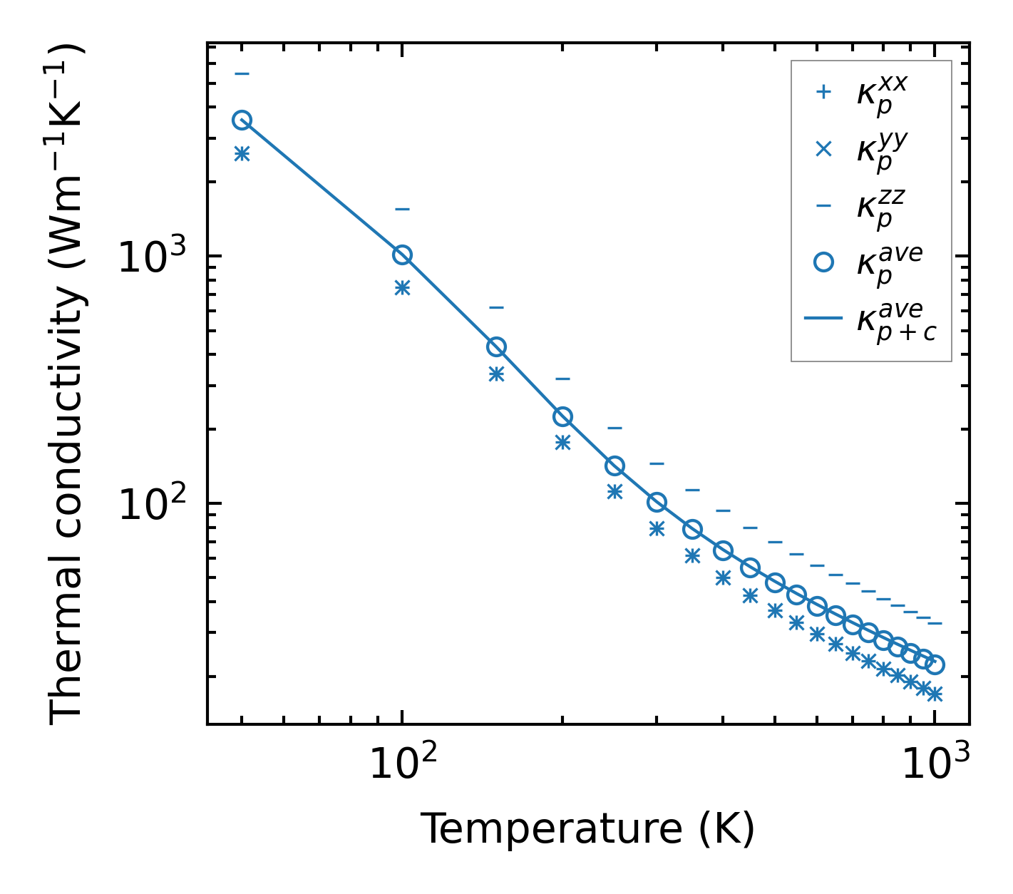
Thermal conductivity

3-phonon (LASSO) — q-mesh: 16x16x16, supercell: 2x2x1

../../_images/fig_kappa442.png

(a) Temperature-dependent lattice thermal conductivity

../../_images/fig_kappa_vs_grain_size228.png

(b) Peierls lattice thermal conductivity w.r.t grain size

Phonon lifetime and scattering rates

../../_images/fig_lifetime224.png

(a) Phonon lifetime due to phonon-phonon scattering

../../_images/fig_scat_rates223.png

(b) Phonon scattering rates

Cumulative and spectral thermal conductivity

../../_images/fig_cumu_frequency224.png

(a) Spectral and cumulative thermal conductivity w.r.t frequency

../../_images/fig_cumu_mfp224.png

(b) Spectral and cumulative thermal conductivity w.r.t MFP

Force constants

../../_images/fig_fc2268.png

(a) Force constants w.r.t atomic distance

Summary

../../_images/fig_kappa443.png

(a) Temperature-dependent lattice thermal conductivity

../../_images/fig_times528.png

(b) Computation time