mp-841/Li2O2/anharm

Harmonic properties

../../_images/fig_bandos_pr463.png

(a) Phonon dispersion with participation ratio and DOS

../../_images/fig_thermo463.png

(b) Thermodynamic properties

Grüneisen parameters

../../_images/fig_gru_all316.png

(a) Grüneisen parameters

../../_images/fig_gruneisen316.png

(b) Phonon dispersion with Grüneisen parameters

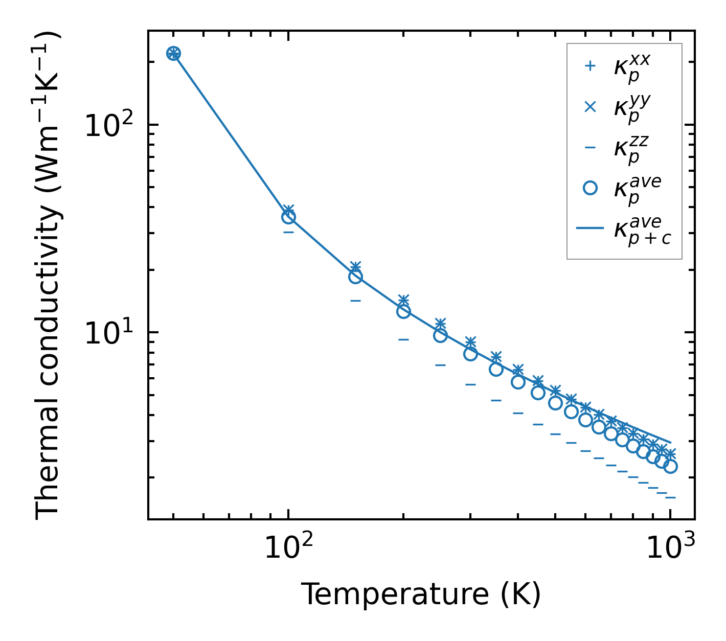
Thermal conductivity

3-phonon (LASSO) — q-mesh: 24x24x10, supercell: 3x3x2

../../_images/fig_kappa615.png

(a) Temperature-dependent lattice thermal conductivity

../../_images/fig_kappa_vs_grain_size318.png

(b) Peierls lattice thermal conductivity w.r.t grain size

Phonon lifetime and scattering rates

../../_images/fig_lifetime314.png

(a) Phonon lifetime due to phonon-phonon scattering

../../_images/fig_scat_rates313.png

(b) Phonon scattering rates

Cumulative and spectral thermal conductivity

../../_images/fig_cumu_frequency314.png

(a) Spectral and cumulative thermal conductivity w.r.t frequency

../../_images/fig_cumu_mfp314.png

(b) Spectral and cumulative thermal conductivity w.r.t MFP

Force constants

../../_images/fig_fc2389.png

(a) Force constants w.r.t atomic distance

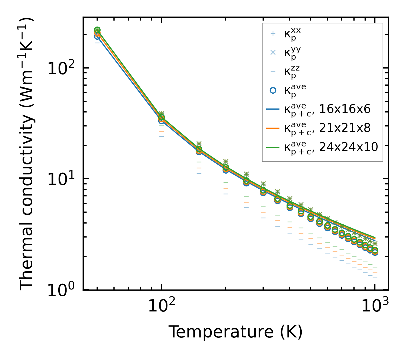
Summary

../../_images/fig_kappa616.png

(a) Temperature-dependent lattice thermal conductivity

../../_images/fig_times703.png

(b) Computation time