mp-471-3/CdAs2/anharm

Equation of state

../../_images/fig_bm115.png

(a) Equation of state

Harmonic properties

../../_images/fig_bandos_pr396.png

(a) Phonon dispersion with participation ratio and DOS

../../_images/fig_bandos369.png

(b) Phonon dispersion and DOS

../../_images/fig_thermo396.png

(c) Thermodynamic properties

Grüneisen parameters

../../_images/fig_gru_all274.png

(a) Grüneisen parameters

../../_images/fig_gruneisen274.png

(b) Phonon dispersion with Grüneisen parameters

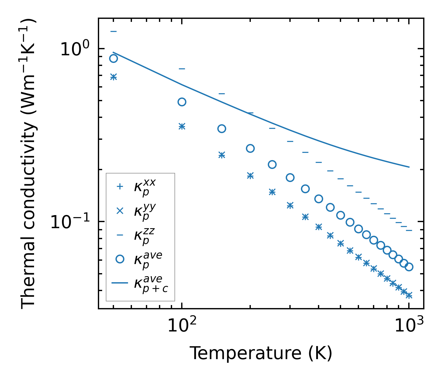
Thermal conductivity

3-phonon (LASSO), supercell 2x2x4 — q-mesh: 13x13x13, supercell: 2x2x4

../../_images/fig_kappa538.png

(a) Temperature-dependent lattice thermal conductivity

../../_images/fig_kappa_vs_grain_size277.png

(b) Peierls lattice thermal conductivity w.r.t grain size

Phonon lifetime and scattering rates

../../_images/fig_lifetime273.png

(a) Phonon lifetime due to phonon-phonon scattering

../../_images/fig_scat_rates272.png

(b) Phonon scattering rates

Cumulative and spectral thermal conductivity

../../_images/fig_cumu_frequency273.png

(a) Spectral and cumulative thermal conductivity w.r.t frequency

../../_images/fig_cumu_mfp273.png

(b) Spectral and cumulative thermal conductivity w.r.t MFP

Force constants

../../_images/fig_fc2327.png

(a) Force constants w.r.t atomic distance

Summary

../../_images/fig_times623.png

(a) Computation time