mp-720-2/TlF/anharm

Equation of state

../../_images/fig_bm134.png

(a) Equation of state

Harmonic properties

../../_images/fig_bandos_pr443.png

(a) Phonon dispersion with participation ratio and DOS

../../_images/fig_thermo443.png

(b) Thermodynamic properties

Grüneisen parameters

../../_images/fig_gru_all300.png

(a) Grüneisen parameters

../../_images/fig_gruneisen300.png

(b) Phonon dispersion with Grüneisen parameters

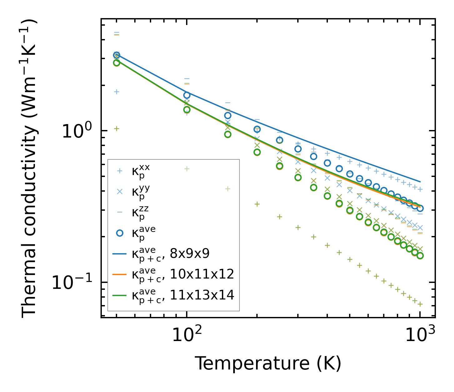
Thermal conductivity

3-phonon (LASSO) — q-mesh: 11x13x14, supercell: 2x3x3

../../_images/fig_kappa583.png

(a) Temperature-dependent lattice thermal conductivity

../../_images/fig_kappa_vs_grain_size302.png

(b) Peierls lattice thermal conductivity w.r.t grain size

Phonon lifetime and scattering rates

../../_images/fig_lifetime298.png

(a) Phonon lifetime due to phonon-phonon scattering

../../_images/fig_scat_rates297.png

(b) Phonon scattering rates

Cumulative and spectral thermal conductivity

../../_images/fig_cumu_frequency298.png

(a) Spectral and cumulative thermal conductivity w.r.t frequency

../../_images/fig_cumu_mfp298.png

(b) Spectral and cumulative thermal conductivity w.r.t MFP

Force constants

../../_images/fig_fc2369.png

(a) Force constants w.r.t atomic distance

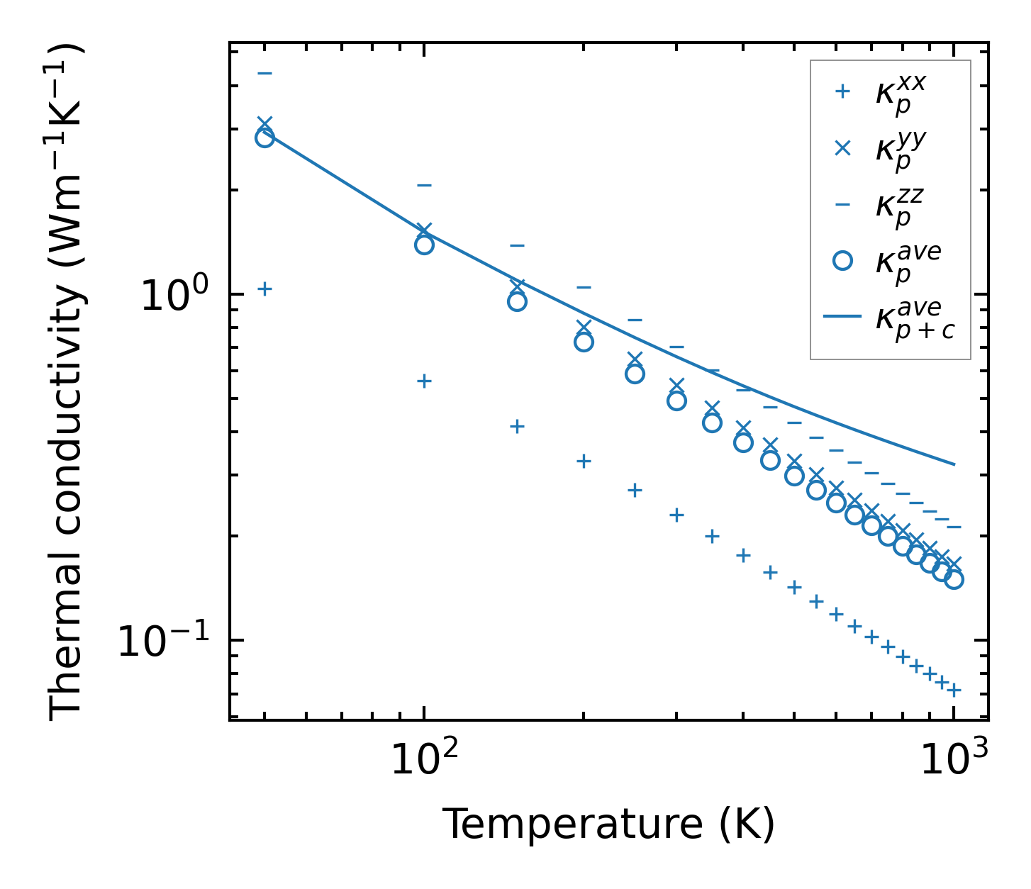
Summary

../../_images/fig_kappa584.png

(a) Temperature-dependent lattice thermal conductivity

../../_images/fig_times680.png

(b) Computation time