mp-913/CdP2/anharm

Equation of state

../../_images/fig_bm146.png

(a) Equation of state

Harmonic properties

../../_images/fig_bandos_pr470.png

(a) Phonon dispersion with participation ratio and DOS

../../_images/fig_thermo470.png

(b) Thermodynamic properties

Grüneisen parameters

../../_images/fig_gru_all321.png

(a) Grüneisen parameters

../../_images/fig_gruneisen321.png

(b) Phonon dispersion with Grüneisen parameters

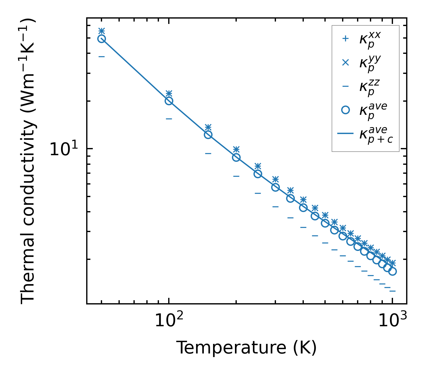
Thermal conductivity

3-phonon (LASSO) — q-mesh: 13x13x3, supercell: 2x2x1

../../_images/fig_kappa624.png

(a) Temperature-dependent lattice thermal conductivity

../../_images/fig_kappa_vs_grain_size323.png

(b) Peierls lattice thermal conductivity w.r.t grain size

Phonon lifetime and scattering rates

../../_images/fig_lifetime319.png

(a) Phonon lifetime due to phonon-phonon scattering

../../_images/fig_scat_rates318.png

(b) Phonon scattering rates

Cumulative and spectral thermal conductivity

../../_images/fig_cumu_frequency319.png

(a) Spectral and cumulative thermal conductivity w.r.t frequency

../../_images/fig_cumu_mfp319.png

(b) Spectral and cumulative thermal conductivity w.r.t MFP

Force constants

../../_images/fig_fc2396.png

(a) Force constants w.r.t atomic distance

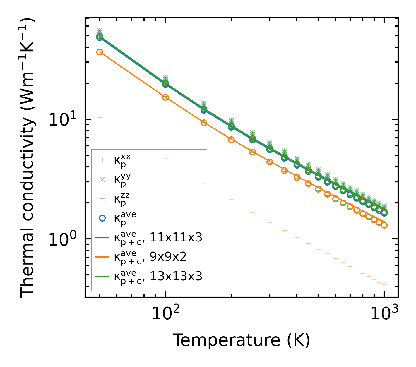
Summary

../../_images/fig_kappa625.png

(a) Temperature-dependent lattice thermal conductivity

../../_images/fig_times717.png

(b) Computation time