mp-402-2/CdP2/anharm

Equation of state

../../_images/fig_bm107.png

(a) Equation of state

Harmonic properties

../../_images/fig_bandos_pr379.png

(a) Phonon dispersion with participation ratio and DOS

../../_images/fig_bandos360.png

(b) Phonon dispersion and DOS

../../_images/fig_thermo379.png

(c) Thermodynamic properties

Grüneisen parameters

../../_images/fig_gru_all260.png

(a) Grüneisen parameters

../../_images/fig_gruneisen260.png

(b) Phonon dispersion with Grüneisen parameters

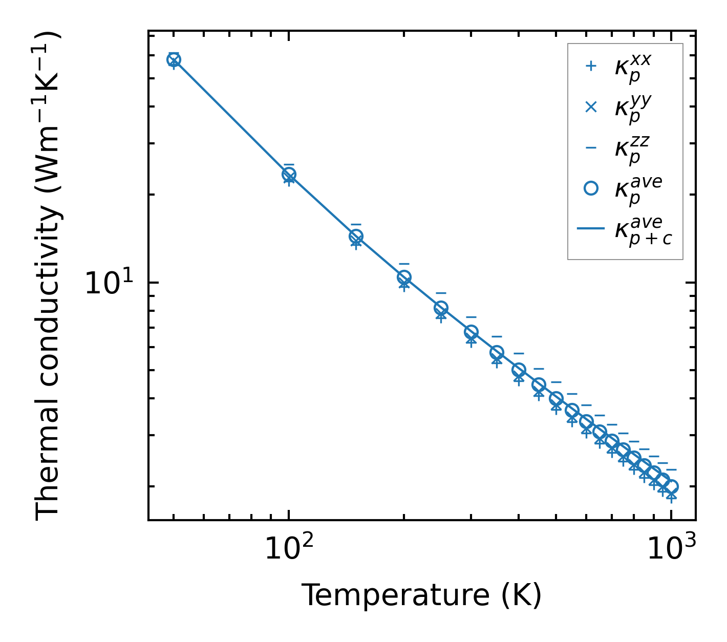
Thermal conductivity

3-phonon (LASSO), supercell 2x3x3 — q-mesh: 7x13x13, supercell: 2x3x3

../../_images/fig_kappa512.png

(a) Temperature-dependent lattice thermal conductivity

../../_images/fig_kappa_vs_grain_size263.png

(b) Peierls lattice thermal conductivity w.r.t grain size

Phonon lifetime and scattering rates

../../_images/fig_lifetime259.png

(a) Phonon lifetime due to phonon-phonon scattering

../../_images/fig_scat_rates258.png

(b) Phonon scattering rates

Cumulative and spectral thermal conductivity

../../_images/fig_cumu_frequency259.png

(a) Spectral and cumulative thermal conductivity w.r.t frequency

../../_images/fig_cumu_mfp259.png

(b) Spectral and cumulative thermal conductivity w.r.t MFP

Force constants

../../_images/fig_fc2314.png

(a) Force constants w.r.t atomic distance

Summary

../../_images/fig_times602.png

(a) Computation time