mp-218/Sm2O3/anharm

Harmonic properties

../../_images/fig_bandos_pr337.png

(a) Phonon dispersion with participation ratio and DOS

../../_images/fig_thermo337.png

(b) Thermodynamic properties

Grüneisen parameters

../../_images/fig_gru_all233.png

(a) Grüneisen parameters

../../_images/fig_gruneisen233.png

(b) Phonon dispersion with Grüneisen parameters

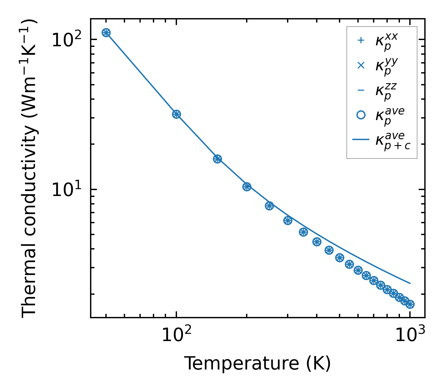
Thermal conductivity

3-phonon (LASSO) — q-mesh: 8x8x8, supercell: 1x1x1

../../_images/fig_kappa458.png

(a) Temperature-dependent lattice thermal conductivity

../../_images/fig_kappa_vs_grain_size236.png

(b) Peierls lattice thermal conductivity w.r.t grain size

Phonon lifetime and scattering rates

../../_images/fig_lifetime232.png

(a) Phonon lifetime due to phonon-phonon scattering

../../_images/fig_scat_rates231.png

(b) Phonon scattering rates

Cumulative and spectral thermal conductivity

../../_images/fig_cumu_frequency232.png

(a) Spectral and cumulative thermal conductivity w.r.t frequency

../../_images/fig_cumu_mfp232.png

(b) Spectral and cumulative thermal conductivity w.r.t MFP

Force constants

../../_images/fig_fc2280.png

(a) Force constants w.r.t atomic distance

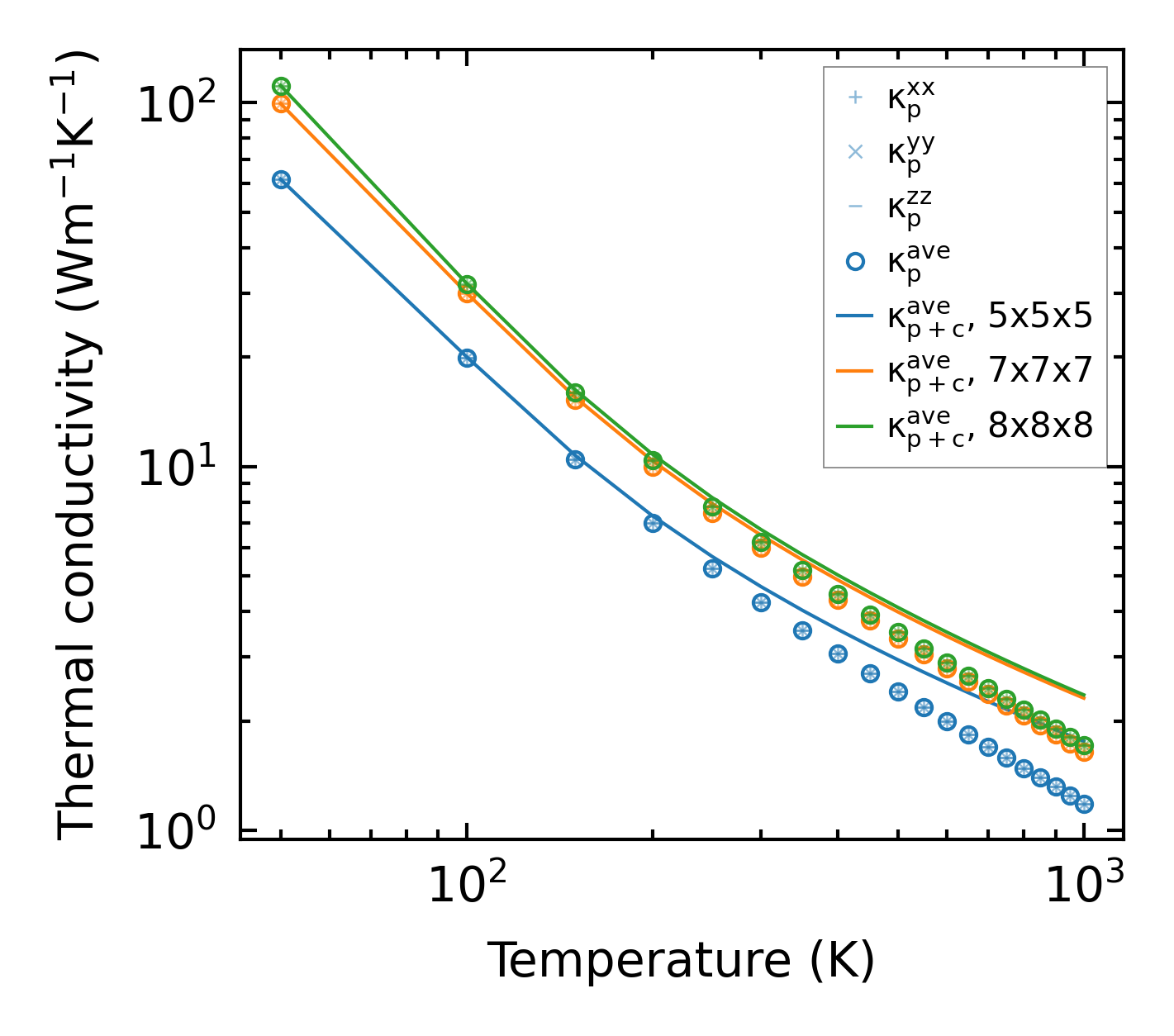
Summary

../../_images/fig_kappa459.png

(a) Temperature-dependent lattice thermal conductivity

../../_images/fig_times542.png

(b) Computation time