mp-684/BaS2/harm

Equation of state

../../_images/fig_bm131.png

(a) Equation of state

Harmonic properties

../../_images/fig_bandos_pr431.png

(a) Phonon dispersion with participation ratio and DOS

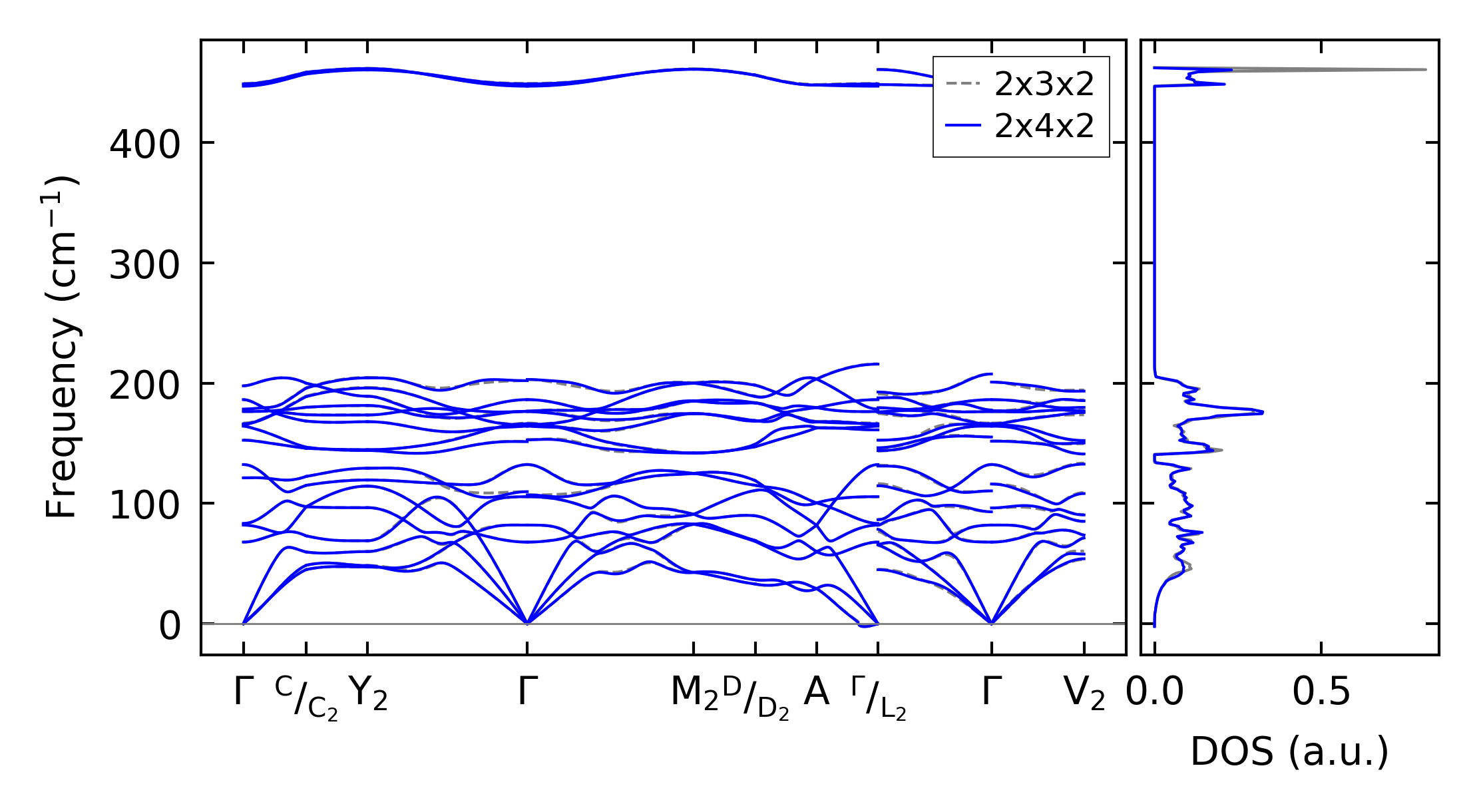
../../_images/fig_bandos398.png

(b) Phonon dispersion and DOS

../../_images/fig_thermo431.png

(c) Thermodynamic properties

Force constants

../../_images/fig_fc2357.png

(a) Force constants w.r.t atomic distance

Summary

../../_images/fig_times667.png

(a) Computation time