mp-667-2/Tl2S/anharm

Equation of state

../../_images/fig_bm130.png

(a) Equation of state

Harmonic properties

../../_images/fig_bandos_pr427.png

(a) Phonon dispersion with participation ratio and DOS

../../_images/fig_bandos397.png

(b) Phonon dispersion and DOS

../../_images/fig_thermo427.png

(c) Thermodynamic properties

Grüneisen parameters

../../_images/fig_gru_all290.png

(a) Grüneisen parameters

../../_images/fig_gruneisen290.png

(b) Phonon dispersion with Grüneisen parameters

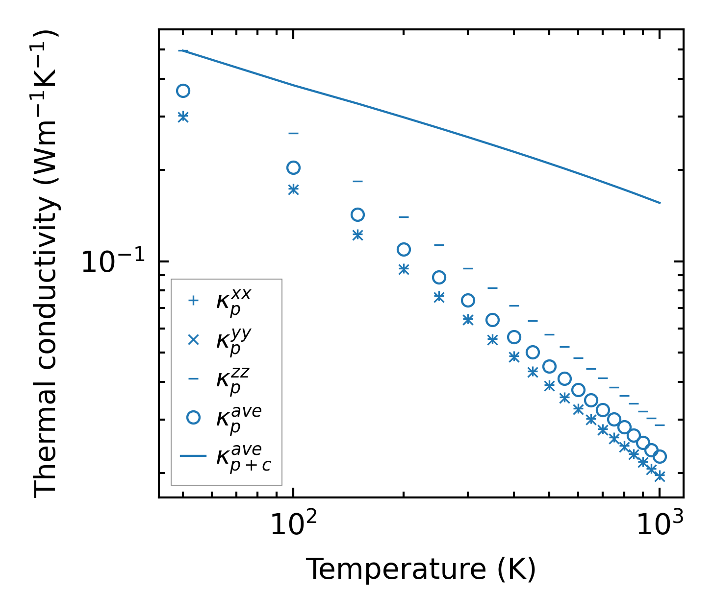
Thermal conductivity

3-phonon (LASSO), supercell 2x2x1 — q-mesh: 7x7x7, supercell: 2x2x1

../../_images/fig_kappa566.png

(a) Temperature-dependent lattice thermal conductivity

../../_images/fig_kappa_vs_grain_size293.png

(b) Peierls lattice thermal conductivity w.r.t grain size

Phonon lifetime and scattering rates

../../_images/fig_lifetime289.png

(a) Phonon lifetime due to phonon-phonon scattering

../../_images/fig_scat_rates288.png

(b) Phonon scattering rates

Cumulative and spectral thermal conductivity

../../_images/fig_cumu_frequency289.png

(a) Spectral and cumulative thermal conductivity w.r.t frequency

../../_images/fig_cumu_mfp289.png

(b) Spectral and cumulative thermal conductivity w.r.t MFP

Force constants

../../_images/fig_fc2354.png

(a) Force constants w.r.t atomic distance

Summary

../../_images/fig_times663.png

(a) Computation time