mp-617-2/PtO2/anharm

Equation of state

../../_images/fig_bm126.png

(a) Equation of state

Harmonic properties

../../_images/fig_bandos_pr416.png

(a) Phonon dispersion with participation ratio and DOS

../../_images/fig_bandos389.png

(b) Phonon dispersion and DOS

../../_images/fig_thermo416.png

(c) Thermodynamic properties

Grüneisen parameters

../../_images/fig_gru_all284.png

(a) Grüneisen parameters

../../_images/fig_gruneisen284.png

(b) Phonon dispersion with Grüneisen parameters

Thermal conductivity

3-phonon (LASSO), supercell 5x5x3 — q-mesh: 24x24x17, supercell: 5x5x3

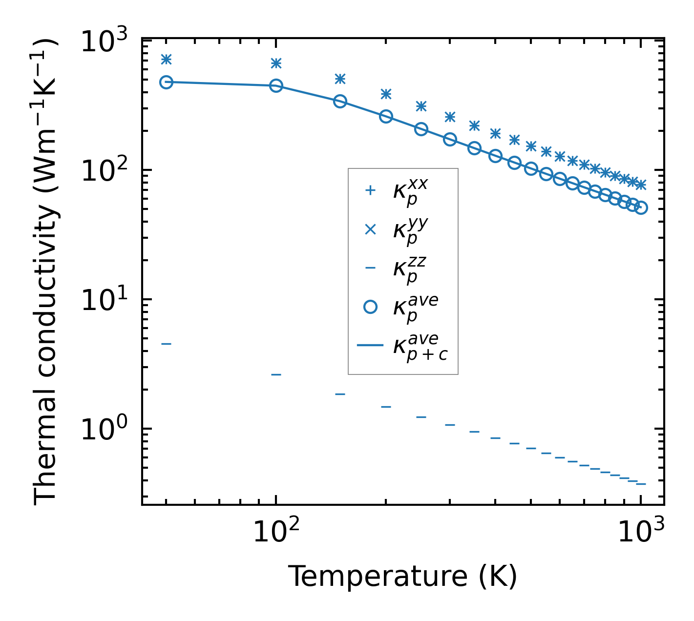
../../_images/fig_kappa555.png

(a) Temperature-dependent lattice thermal conductivity

../../_images/fig_kappa_vs_grain_size287.png

(b) Peierls lattice thermal conductivity w.r.t grain size

Phonon lifetime and scattering rates

../../_images/fig_lifetime283.png

(a) Phonon lifetime due to phonon-phonon scattering

../../_images/fig_scat_rates282.png

(b) Phonon scattering rates

Cumulative and spectral thermal conductivity

../../_images/fig_cumu_frequency283.png

(a) Spectral and cumulative thermal conductivity w.r.t frequency

../../_images/fig_cumu_mfp283.png

(b) Spectral and cumulative thermal conductivity w.r.t MFP

Force constants

../../_images/fig_fc2346.png

(a) Force constants w.r.t atomic distance

Summary

../../_images/fig_times650.png

(a) Computation time