mp-252-2/BeTe/anharm

Equation of state

../../_images/fig_bm92.png

(a) Equation of state

Harmonic properties

../../_images/fig_bandos_pr353.png

(a) Phonon dispersion with participation ratio and DOS

../../_images/fig_thermo353.png

(b) Thermodynamic properties

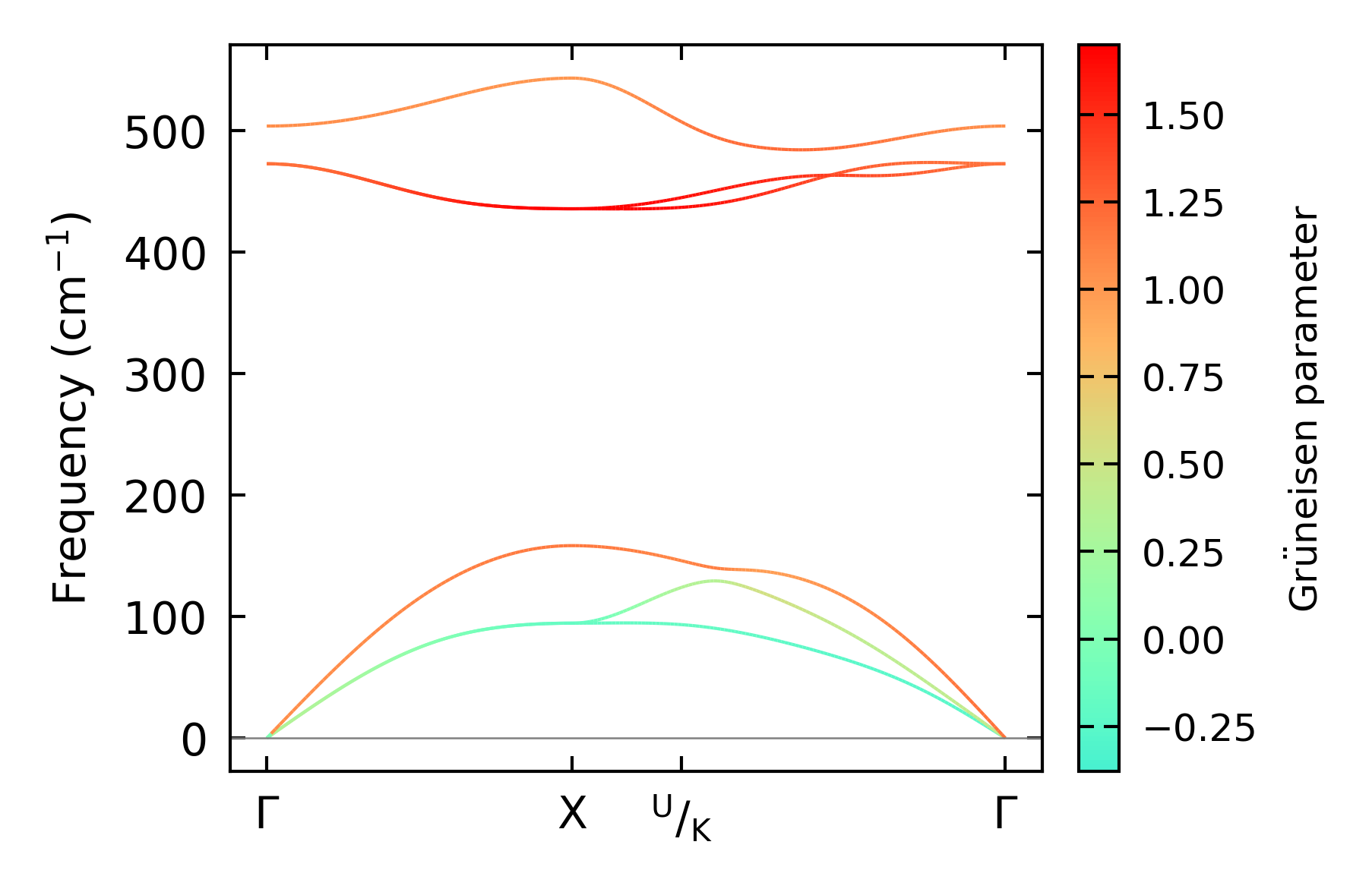
Grüneisen parameters

../../_images/fig_gru_all243.png

(a) Grüneisen parameters

../../_images/fig_gruneisen243.png

(b) Phonon dispersion with Grüneisen parameters

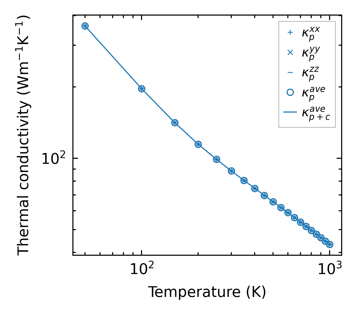
Thermal conductivity

3-phonon — q-mesh: 20x20x20, supercell: 2x2x2

../../_images/fig_kappa478.png

(a) Temperature-dependent lattice thermal conductivity

../../_images/fig_kappa_vs_grain_size246.png

(b) Peierls lattice thermal conductivity w.r.t grain size

Phonon lifetime and scattering rates

../../_images/fig_lifetime242.png

(a) Phonon lifetime due to phonon-phonon scattering

../../_images/fig_scat_rates241.png

(b) Phonon scattering rates

Cumulative and spectral thermal conductivity

../../_images/fig_cumu_frequency242.png

(a) Spectral and cumulative thermal conductivity w.r.t frequency

../../_images/fig_cumu_mfp242.png

(b) Spectral and cumulative thermal conductivity w.r.t MFP

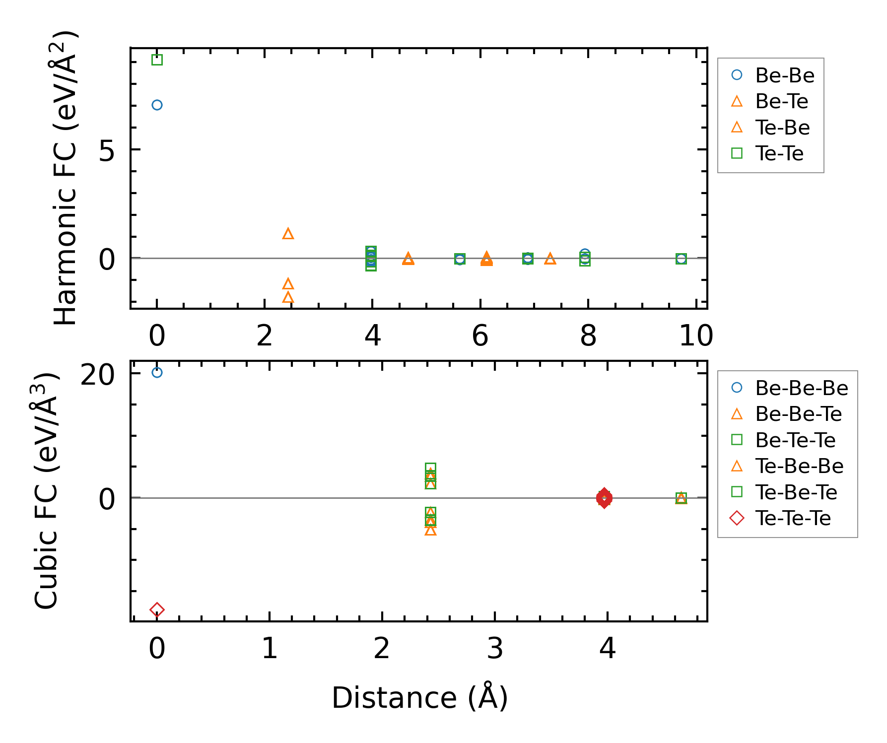
Force constants

../../_images/fig_fc360.png

(a) Force constants w.r.t atomic distance

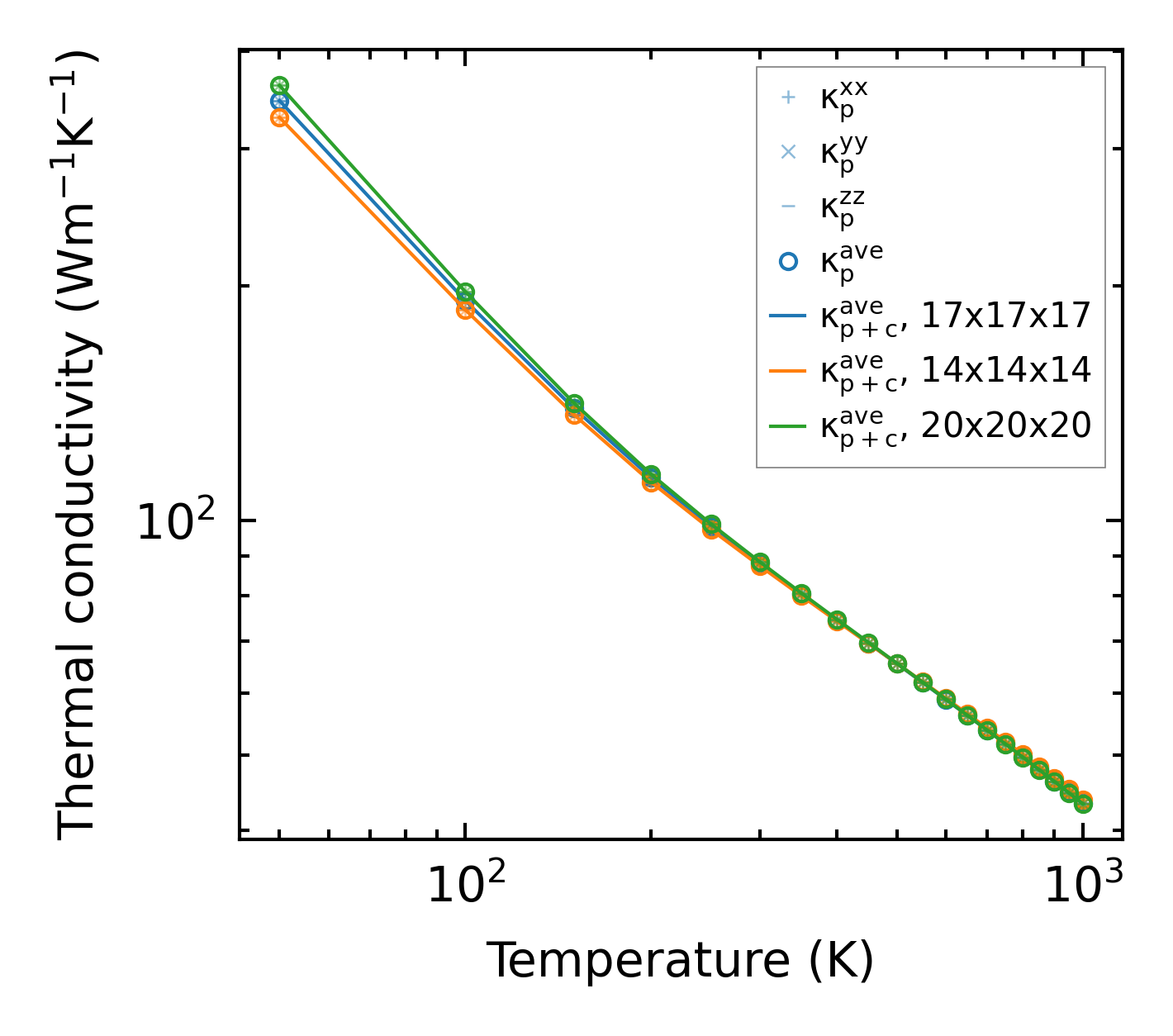
Summary

../../_images/fig_kappa479.png

(a) Temperature-dependent lattice thermal conductivity

../../_images/fig_times561.png

(b) Computation time