mp-438/Nd2S3/anharm

Harmonic properties

../../_images/fig_bandos_pr385.png

(a) Phonon dispersion with participation ratio and DOS

../../_images/fig_thermo385.png

(b) Thermodynamic properties

Grüneisen parameters

../../_images/fig_gru_all264.png

(a) Grüneisen parameters

../../_images/fig_gruneisen264.png

(b) Phonon dispersion with Grüneisen parameters

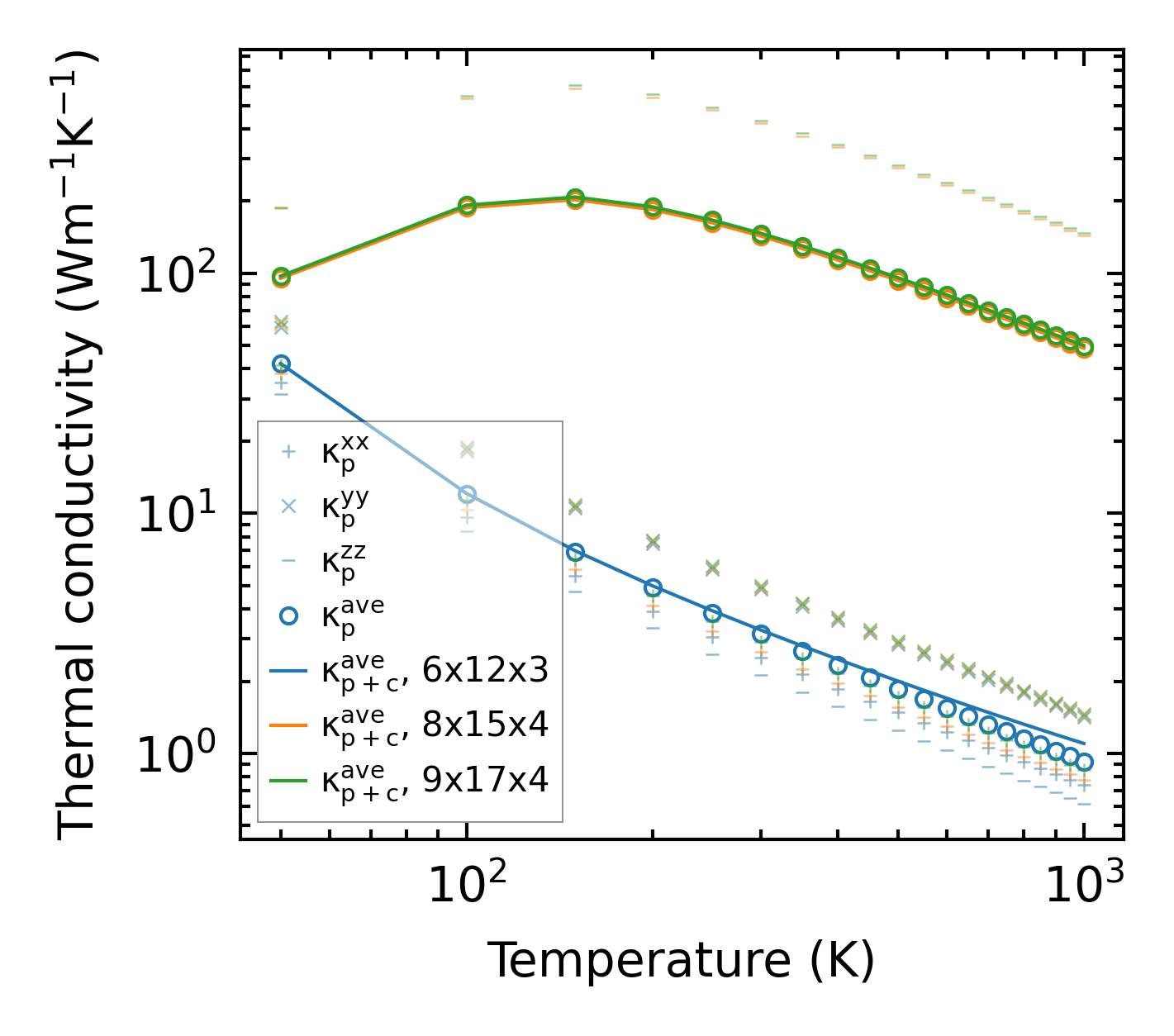
Thermal conductivity

3-phonon (LASSO) — q-mesh: 9x17x4, supercell: 2x3x1

../../_images/fig_kappa519.png

(a) Temperature-dependent lattice thermal conductivity

../../_images/fig_kappa_vs_grain_size267.png

(b) Peierls lattice thermal conductivity w.r.t grain size

Phonon lifetime and scattering rates

../../_images/fig_lifetime263.png

(a) Phonon lifetime due to phonon-phonon scattering

../../_images/fig_scat_rates262.png

(b) Phonon scattering rates

Cumulative and spectral thermal conductivity

../../_images/fig_cumu_frequency263.png

(a) Spectral and cumulative thermal conductivity w.r.t frequency

../../_images/fig_cumu_mfp263.png

(b) Spectral and cumulative thermal conductivity w.r.t MFP

Force constants

../../_images/fig_fc2318.png

(a) Force constants w.r.t atomic distance

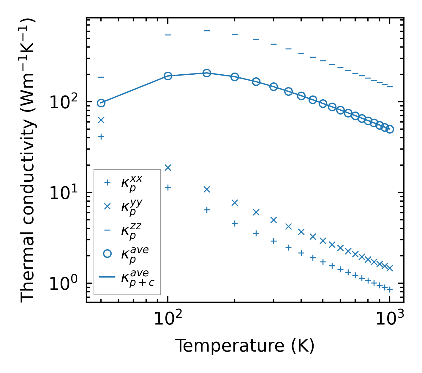
Summary

../../_images/fig_kappa520.png

(a) Temperature-dependent lattice thermal conductivity

../../_images/fig_times610.png

(b) Computation time