mp-757-2/Li3As/anharm

Equation of state

../../_images/fig_bm138.png

(a) Equation of state

Harmonic properties

../../_images/fig_bandos_pr451.png

(a) Phonon dispersion with participation ratio and DOS

../../_images/fig_thermo451.png

(b) Thermodynamic properties

Grüneisen parameters

../../_images/fig_gru_all306.png

(a) Grüneisen parameters

../../_images/fig_gruneisen306.png

(b) Phonon dispersion with Grüneisen parameters

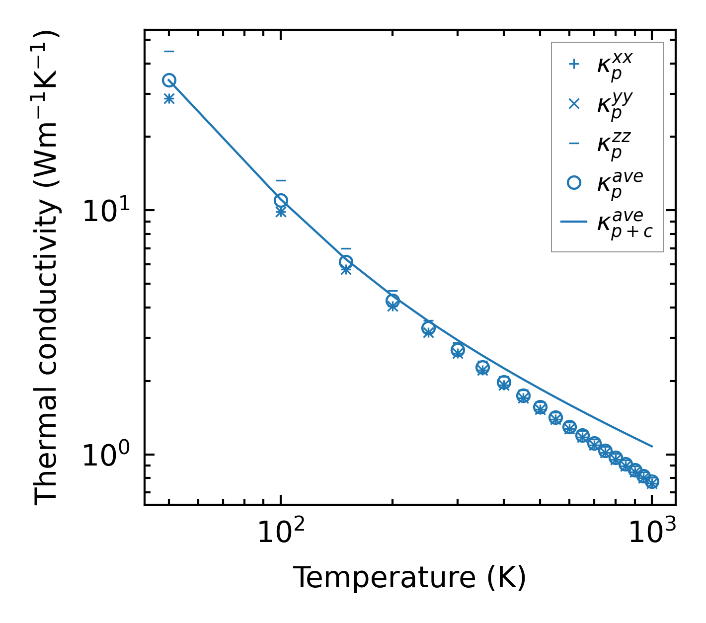
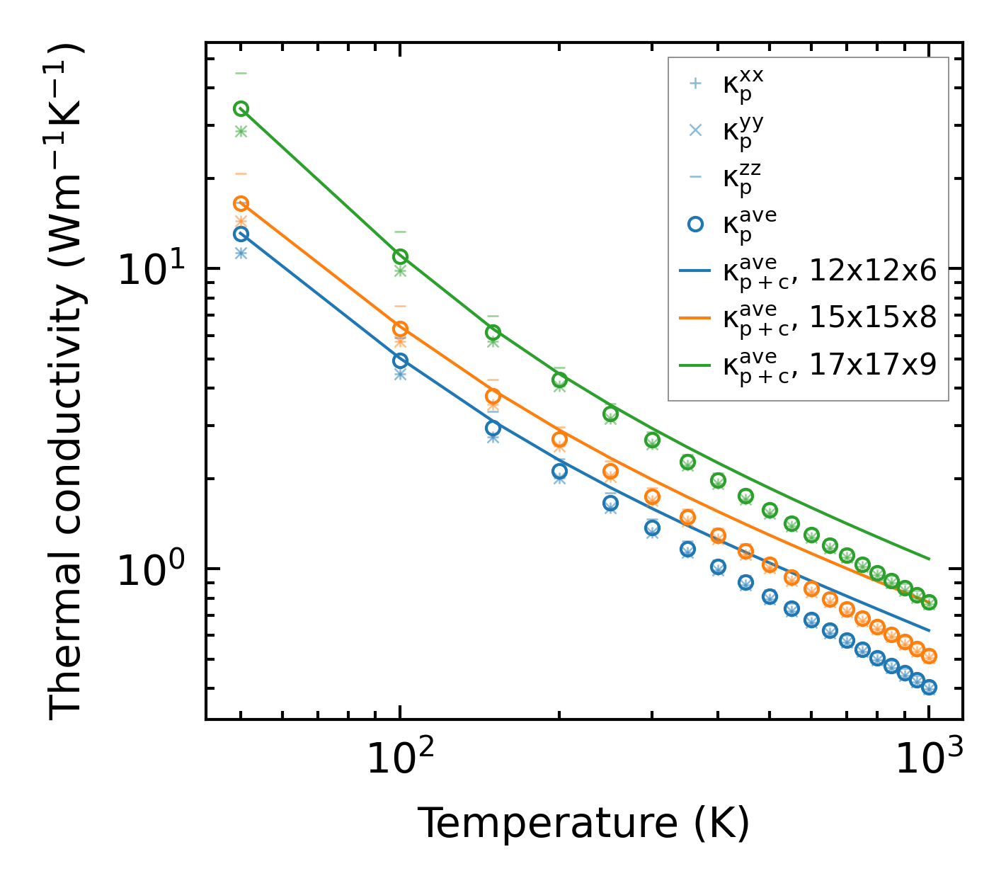
Thermal conductivity

3-phonon (LASSO) — q-mesh: 17x17x9, supercell: 3x3x2

../../_images/fig_kappa595.png

(a) Temperature-dependent lattice thermal conductivity

../../_images/fig_kappa_vs_grain_size308.png

(b) Peierls lattice thermal conductivity w.r.t grain size

Phonon lifetime and scattering rates

../../_images/fig_lifetime304.png

(a) Phonon lifetime due to phonon-phonon scattering

../../_images/fig_scat_rates303.png

(b) Phonon scattering rates

Cumulative and spectral thermal conductivity

../../_images/fig_cumu_frequency304.png

(a) Spectral and cumulative thermal conductivity w.r.t frequency

../../_images/fig_cumu_mfp304.png

(b) Spectral and cumulative thermal conductivity w.r.t MFP

Force constants

../../_images/fig_fc2377.png

(a) Force constants w.r.t atomic distance

Summary

../../_images/fig_kappa596.png

(a) Temperature-dependent lattice thermal conductivity

../../_images/fig_times691.png

(b) Computation time