mp-971/K2O/anharm

Harmonic properties

../../_images/fig_bandos_pr480.png

(a) Phonon dispersion with participation ratio and DOS

../../_images/fig_thermo480.png

(b) Thermodynamic properties

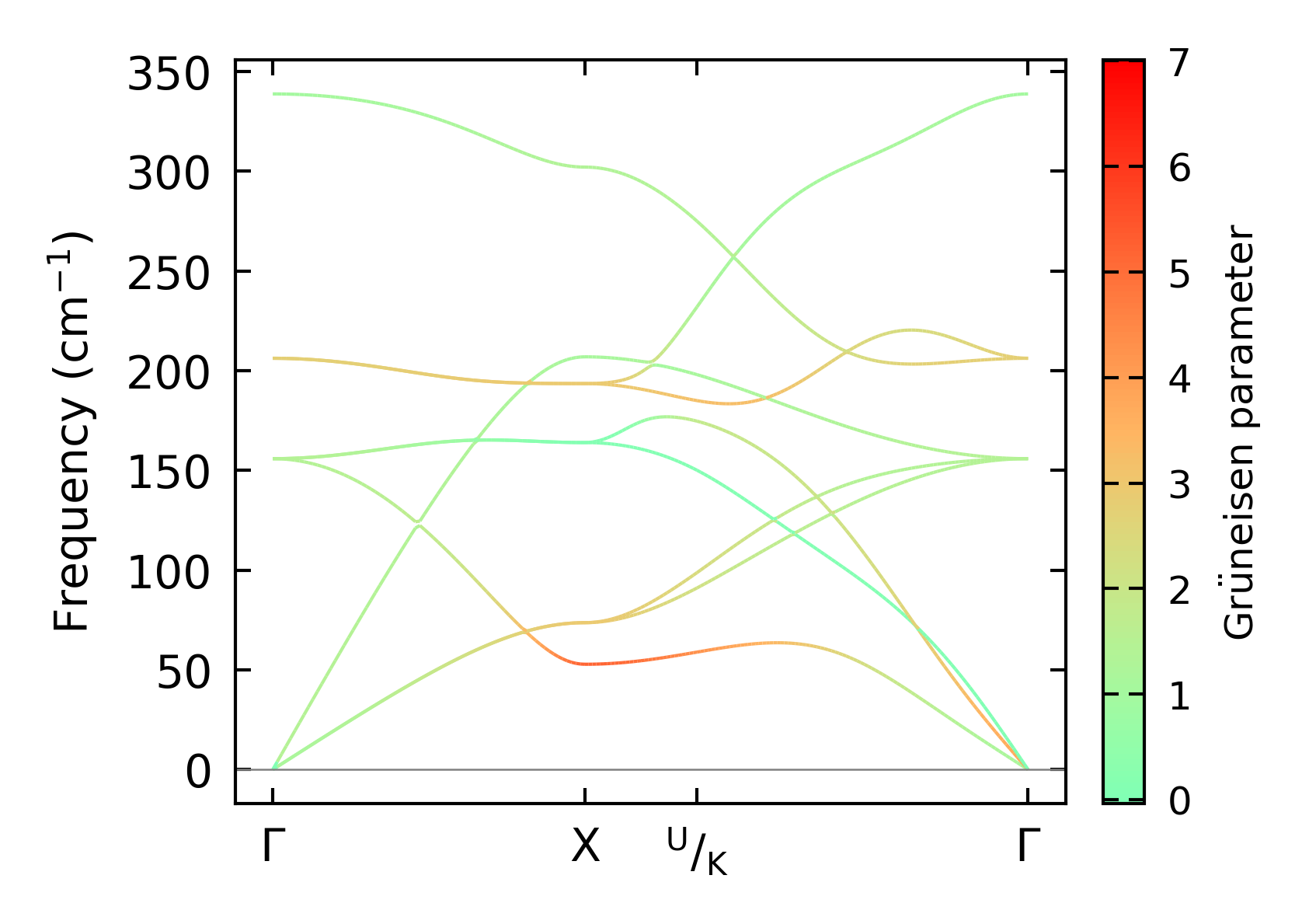
Grüneisen parameters

../../_images/fig_gru_all328.png

(a) Grüneisen parameters

../../_images/fig_gruneisen328.png

(b) Phonon dispersion with Grüneisen parameters

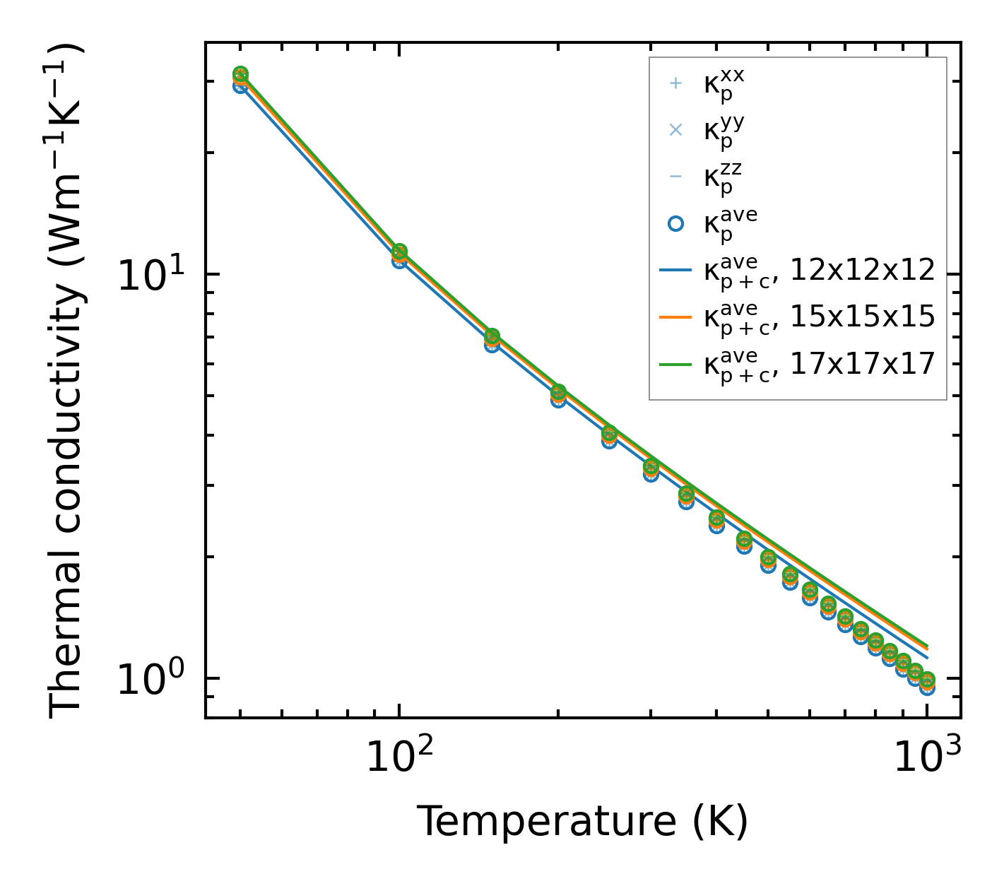
Thermal conductivity

3-phonon (LASSO) — q-mesh: 17x17x17, supercell: 2x2x2

../../_images/fig_kappa637.png

(a) Temperature-dependent lattice thermal conductivity

../../_images/fig_kappa_vs_grain_size330.png

(b) Peierls lattice thermal conductivity w.r.t grain size

Phonon lifetime and scattering rates

../../_images/fig_lifetime326.png

(a) Phonon lifetime due to phonon-phonon scattering

../../_images/fig_scat_rates325.png

(b) Phonon scattering rates

Cumulative and spectral thermal conductivity

../../_images/fig_cumu_frequency326.png

(a) Spectral and cumulative thermal conductivity w.r.t frequency

../../_images/fig_cumu_mfp326.png

(b) Spectral and cumulative thermal conductivity w.r.t MFP

Force constants

../../_images/fig_fc2406.png

(a) Force constants w.r.t atomic distance

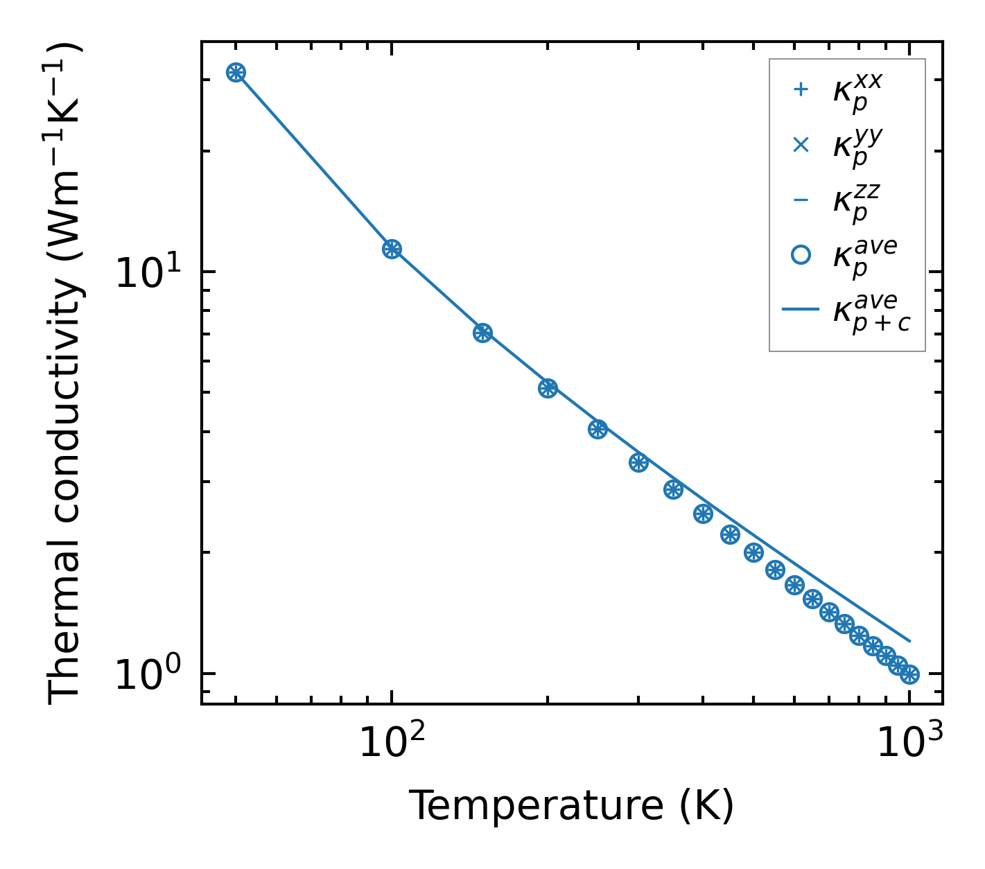
Summary

../../_images/fig_kappa638.png

(a) Temperature-dependent lattice thermal conductivity

../../_images/fig_times731.png

(b) Computation time