mp-762/PtS2/anharm

Harmonic properties

../../_images/fig_bandos_pr453.png

(a) Phonon dispersion with participation ratio and DOS

../../_images/fig_thermo453.png

(b) Thermodynamic properties

Grüneisen parameters

../../_images/fig_gru_all308.png

(a) Grüneisen parameters

../../_images/fig_gruneisen308.png

(b) Phonon dispersion with Grüneisen parameters

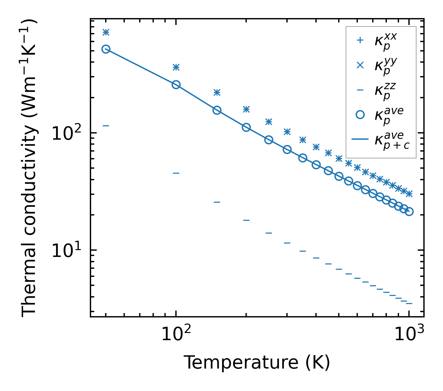
Thermal conductivity

3-phonon (LASSO) — q-mesh: 21x21x15, supercell: 4x4x3

../../_images/fig_kappa599.png

(a) Temperature-dependent lattice thermal conductivity

../../_images/fig_kappa_vs_grain_size310.png

(b) Peierls lattice thermal conductivity w.r.t grain size

Phonon lifetime and scattering rates

../../_images/fig_lifetime306.png

(a) Phonon lifetime due to phonon-phonon scattering

../../_images/fig_scat_rates305.png

(b) Phonon scattering rates

Cumulative and spectral thermal conductivity

../../_images/fig_cumu_frequency306.png

(a) Spectral and cumulative thermal conductivity w.r.t frequency

../../_images/fig_cumu_mfp306.png

(b) Spectral and cumulative thermal conductivity w.r.t MFP

Force constants

../../_images/fig_fc2379.png

(a) Force constants w.r.t atomic distance

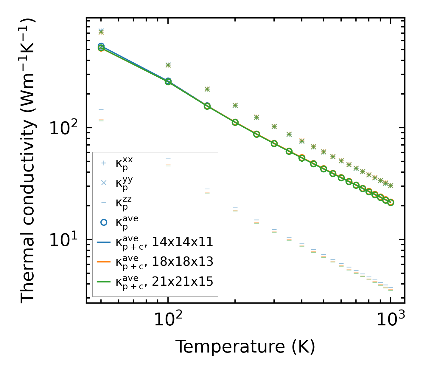
Summary

../../_images/fig_kappa600.png

(a) Temperature-dependent lattice thermal conductivity

../../_images/fig_times693.png

(b) Computation time