mp-165/Si/anharm

Equation of state

../../_images/fig_bm79.png

(a) Equation of state

Harmonic properties

../../_images/fig_bandos_pr327.png

(a) Phonon dispersion with participation ratio and DOS

../../_images/fig_thermo327.png

(b) Thermodynamic properties

Grüneisen parameters

../../_images/fig_gru_all227.png

(a) Grüneisen parameters

../../_images/fig_gruneisen227.png

(b) Phonon dispersion with Grüneisen parameters

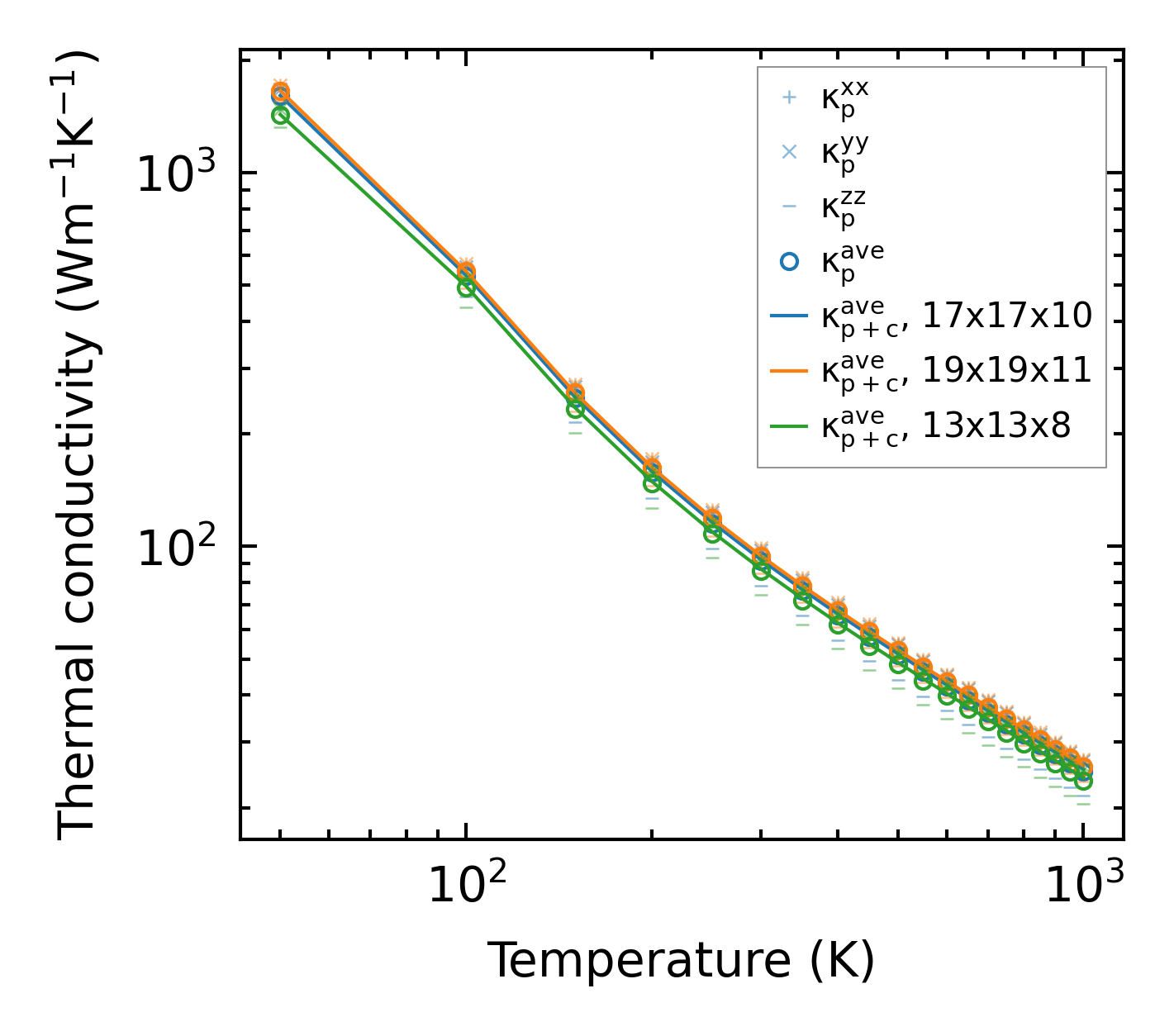
Thermal conductivity

3-phonon (LASSO) — q-mesh: 19x19x11, supercell: 4x4x2

../../_images/fig_kappa446.png

(a) Temperature-dependent lattice thermal conductivity

../../_images/fig_kappa_vs_grain_size230.png

(b) Peierls lattice thermal conductivity w.r.t grain size

Phonon lifetime and scattering rates

../../_images/fig_lifetime226.png

(a) Phonon lifetime due to phonon-phonon scattering

../../_images/fig_scat_rates225.png

(b) Phonon scattering rates

Cumulative and spectral thermal conductivity

../../_images/fig_cumu_frequency226.png

(a) Spectral and cumulative thermal conductivity w.r.t frequency

../../_images/fig_cumu_mfp226.png

(b) Spectral and cumulative thermal conductivity w.r.t MFP

Force constants

../../_images/fig_fc2270.png

(a) Force constants w.r.t atomic distance

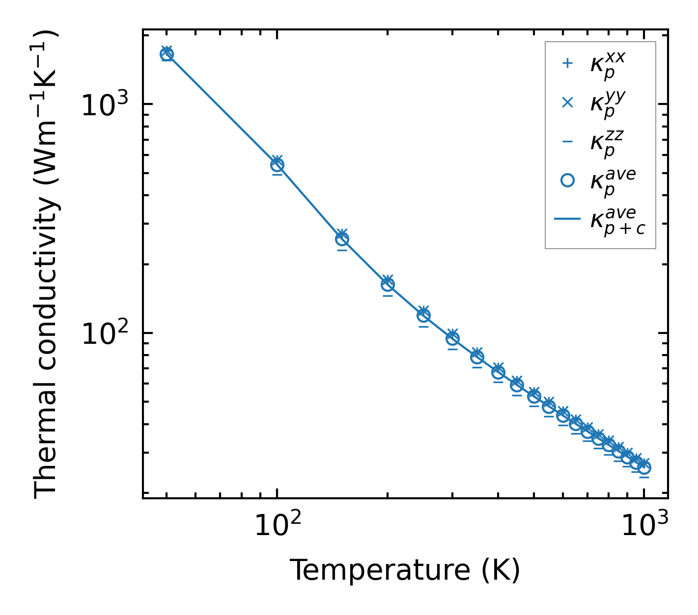
Summary

../../_images/fig_kappa447.png

(a) Temperature-dependent lattice thermal conductivity

../../_images/fig_times530.png

(b) Computation time