mp-25-2/N2/anharm

Equation of state

../../_images/fig_bm91.png

(a) Equation of state

Harmonic properties

../../_images/fig_bandos_pr351.png

(a) Phonon dispersion with participation ratio and DOS

../../_images/fig_thermo351.png

(b) Thermodynamic properties

Grüneisen parameters

../../_images/fig_gru_all241.png

(a) Grüneisen parameters

../../_images/fig_gruneisen241.png

(b) Phonon dispersion with Grüneisen parameters

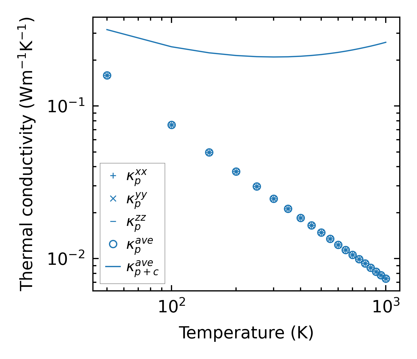
Thermal conductivity

3-phonon — q-mesh: 12x12x12, supercell: 2x2x2

../../_images/fig_kappa474.png

(a) Temperature-dependent lattice thermal conductivity

../../_images/fig_kappa_vs_grain_size244.png

(b) Peierls lattice thermal conductivity w.r.t grain size

Phonon lifetime and scattering rates

../../_images/fig_lifetime240.png

(a) Phonon lifetime due to phonon-phonon scattering

../../_images/fig_scat_rates239.png

(b) Phonon scattering rates

Cumulative and spectral thermal conductivity

../../_images/fig_cumu_frequency240.png

(a) Spectral and cumulative thermal conductivity w.r.t frequency

../../_images/fig_cumu_mfp240.png

(b) Spectral and cumulative thermal conductivity w.r.t MFP

Force constants

../../_images/fig_fc358.png

(a) Force constants w.r.t atomic distance

Summary

../../_images/fig_kappa475.png

(a) Temperature-dependent lattice thermal conductivity

../../_images/fig_times559.png

(b) Computation time