mp-111/Ne/anharm

Equation of state

../../_images/fig_bm72.png

(a) Equation of state

Harmonic properties

../../_images/fig_bandos_pr315.png

(a) Phonon dispersion with participation ratio and DOS

../../_images/fig_thermo315.png

(b) Thermodynamic properties

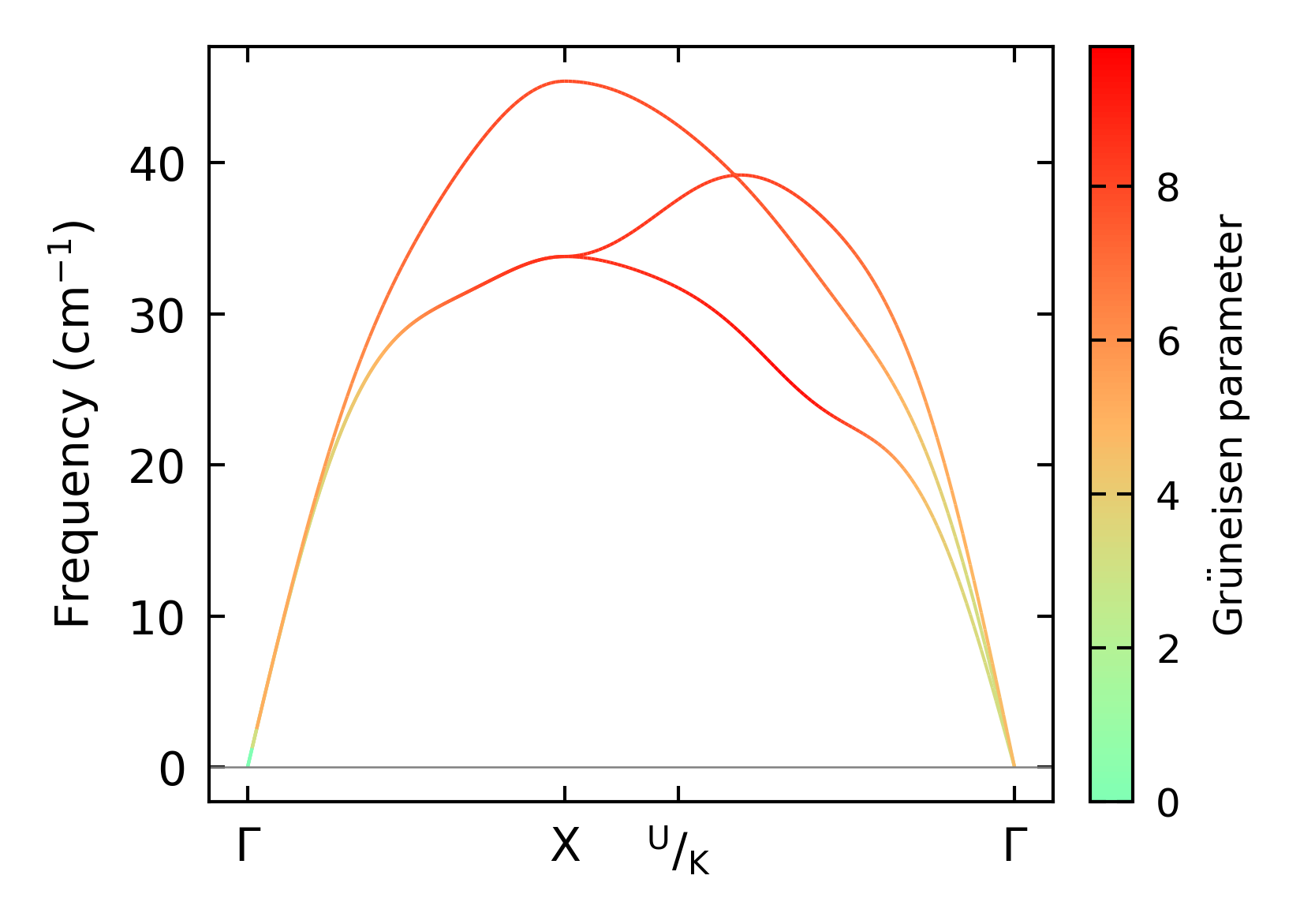
Grüneisen parameters

../../_images/fig_gru_all219.png

(a) Grüneisen parameters

../../_images/fig_gruneisen219.png

(b) Phonon dispersion with Grüneisen parameters

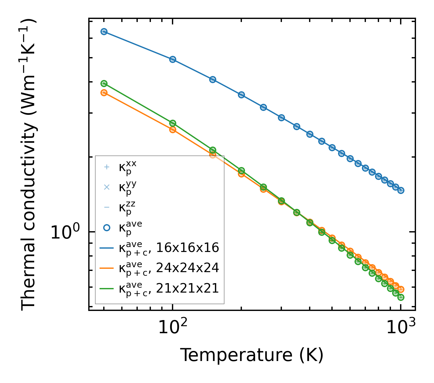
Thermal conductivity

3-phonon — q-mesh: 24x24x24, supercell: 3x3x3

../../_images/fig_kappa430.png

(a) Temperature-dependent lattice thermal conductivity

../../_images/fig_kappa_vs_grain_size222.png

(b) Peierls lattice thermal conductivity w.r.t grain size

Phonon lifetime and scattering rates

../../_images/fig_lifetime218.png

(a) Phonon lifetime due to phonon-phonon scattering

../../_images/fig_scat_rates217.png

(b) Phonon scattering rates

Cumulative and spectral thermal conductivity

../../_images/fig_cumu_frequency218.png

(a) Spectral and cumulative thermal conductivity w.r.t frequency

../../_images/fig_cumu_mfp218.png

(b) Spectral and cumulative thermal conductivity w.r.t MFP

Force constants

../../_images/fig_fc353.png

(a) Force constants w.r.t atomic distance

Summary

../../_images/fig_kappa431.png

(a) Temperature-dependent lattice thermal conductivity

../../_images/fig_times515.png

(b) Computation time