mp-743-2/RbN3/anharm

Equation of state

../../_images/fig_bm137.png

(a) Equation of state

Harmonic properties

../../_images/fig_bandos_pr450.png

(a) Phonon dispersion with participation ratio and DOS

../../_images/fig_thermo450.png

(b) Thermodynamic properties

Grüneisen parameters

../../_images/fig_gru_all305.png

(a) Grüneisen parameters

../../_images/fig_gruneisen305.png

(b) Phonon dispersion with Grüneisen parameters

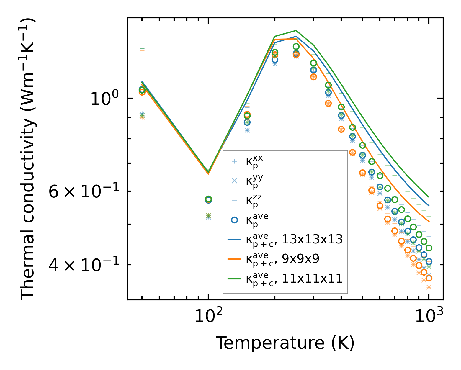
Thermal conductivity

3-phonon (LASSO) — q-mesh: 13x13x13, supercell: 2x2x2

../../_images/fig_kappa593.png

(a) Temperature-dependent lattice thermal conductivity

../../_images/fig_kappa_vs_grain_size307.png

(b) Peierls lattice thermal conductivity w.r.t grain size

Phonon lifetime and scattering rates

../../_images/fig_lifetime303.png

(a) Phonon lifetime due to phonon-phonon scattering

../../_images/fig_scat_rates302.png

(b) Phonon scattering rates

Cumulative and spectral thermal conductivity

../../_images/fig_cumu_frequency303.png

(a) Spectral and cumulative thermal conductivity w.r.t frequency

../../_images/fig_cumu_mfp303.png

(b) Spectral and cumulative thermal conductivity w.r.t MFP

Force constants

../../_images/fig_fc2376.png

(a) Force constants w.r.t atomic distance

Summary

../../_images/fig_kappa594.png

(a) Temperature-dependent lattice thermal conductivity

../../_images/fig_times689.png

(b) Computation time