mp-938-2/GeTe/anharm

Equation of state

../../_images/fig_bm148.png

(a) Equation of state

Harmonic properties

../../_images/fig_bandos_pr473.png

(a) Phonon dispersion with participation ratio and DOS

../../_images/fig_bandos426.png

(b) Phonon dispersion and DOS

../../_images/fig_thermo473.png

(c) Thermodynamic properties

Grüneisen parameters

../../_images/fig_gru_all324.png

(a) Grüneisen parameters

../../_images/fig_gruneisen324.png

(b) Phonon dispersion with Grüneisen parameters

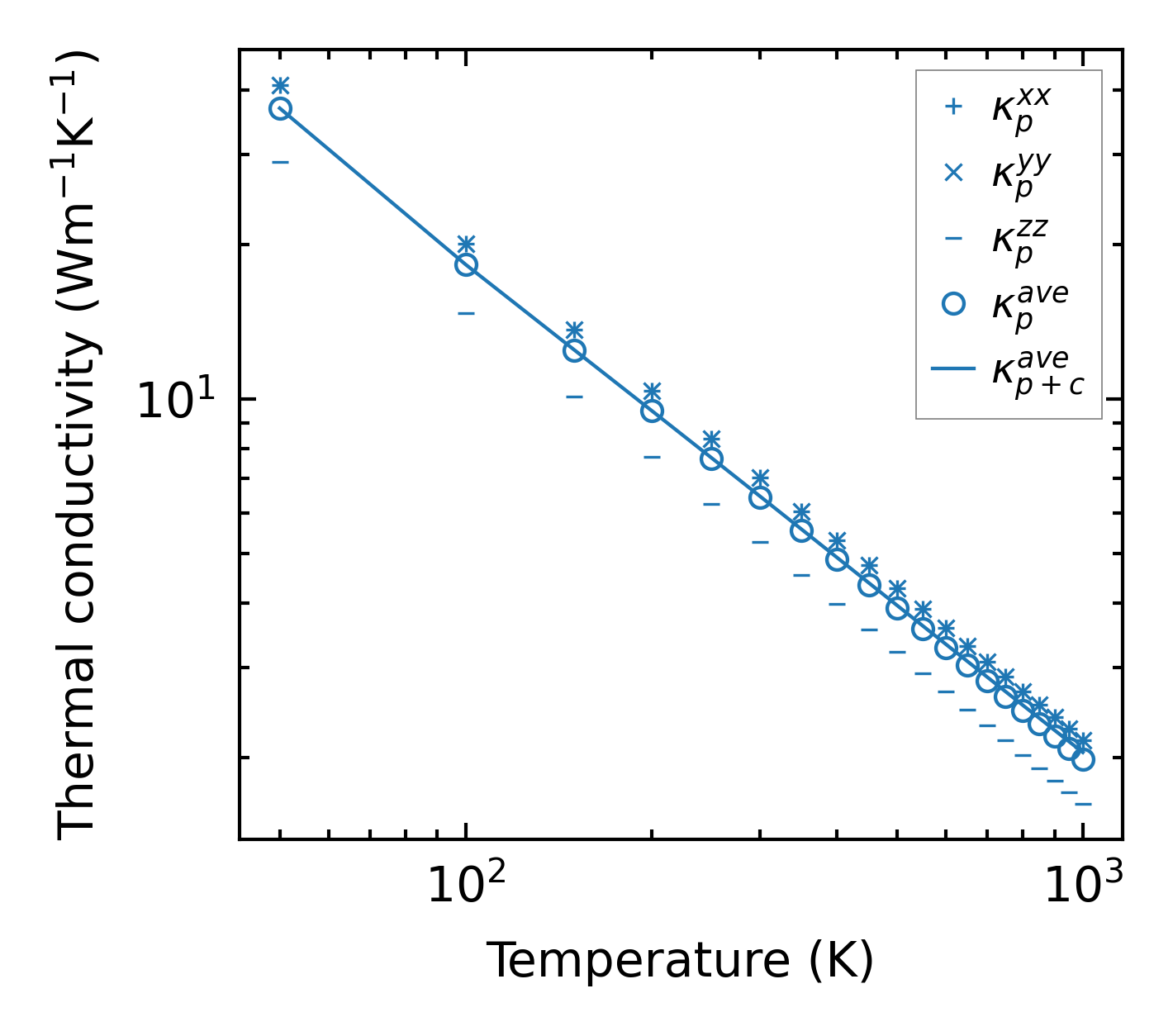
Thermal conductivity

3-phonon (LASSO), supercell 4x4x2 — q-mesh: 19x19x19, supercell: 4x4x2

../../_images/fig_kappa630.png

(a) Temperature-dependent lattice thermal conductivity

../../_images/fig_kappa_vs_grain_size326.png

(b) Peierls lattice thermal conductivity w.r.t grain size

Phonon lifetime and scattering rates

../../_images/fig_lifetime322.png

(a) Phonon lifetime due to phonon-phonon scattering

../../_images/fig_scat_rates321.png

(b) Phonon scattering rates

Cumulative and spectral thermal conductivity

../../_images/fig_cumu_frequency322.png

(a) Spectral and cumulative thermal conductivity w.r.t frequency

../../_images/fig_cumu_mfp322.png

(b) Spectral and cumulative thermal conductivity w.r.t MFP

Force constants

../../_images/fig_fc2399.png

(a) Force constants w.r.t atomic distance

Summary

../../_images/fig_times723.png

(a) Computation time