mp-438-2/Nd2S3/anharm

Equation of state

../../_images/fig_bm110.png

(a) Equation of state

Harmonic properties

../../_images/fig_bandos_pr386.png

(a) Phonon dispersion with participation ratio and DOS

../../_images/fig_thermo386.png

(b) Thermodynamic properties

Grüneisen parameters

../../_images/fig_gru_all265.png

(a) Grüneisen parameters

../../_images/fig_gruneisen265.png

(b) Phonon dispersion with Grüneisen parameters

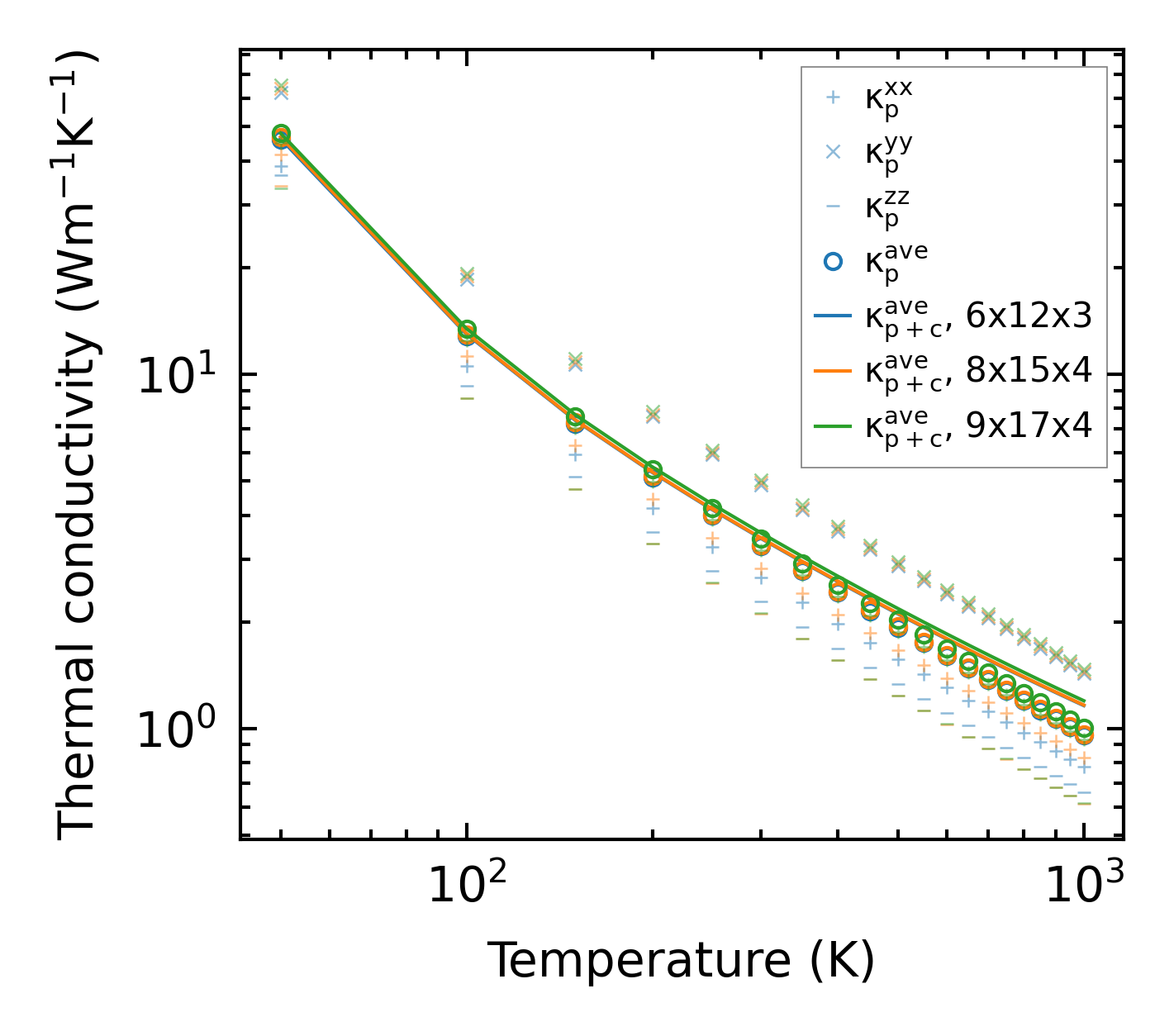
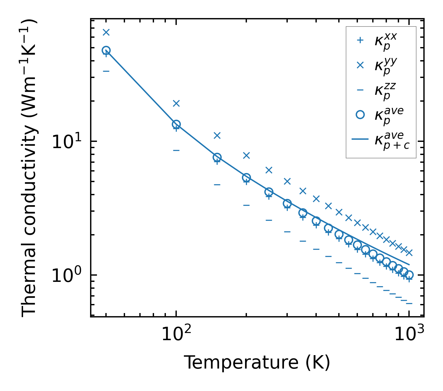
Thermal conductivity

3-phonon (LASSO) — q-mesh: 9x17x4, supercell: 2x3x1

../../_images/fig_kappa521.png

(a) Temperature-dependent lattice thermal conductivity

../../_images/fig_kappa_vs_grain_size268.png

(b) Peierls lattice thermal conductivity w.r.t grain size

Phonon lifetime and scattering rates

../../_images/fig_lifetime264.png

(a) Phonon lifetime due to phonon-phonon scattering

../../_images/fig_scat_rates263.png

(b) Phonon scattering rates

Cumulative and spectral thermal conductivity

../../_images/fig_cumu_frequency264.png

(a) Spectral and cumulative thermal conductivity w.r.t frequency

../../_images/fig_cumu_mfp264.png

(b) Spectral and cumulative thermal conductivity w.r.t MFP

Force constants

../../_images/fig_fc2319.png

(a) Force constants w.r.t atomic distance

Summary

../../_images/fig_kappa522.png

(a) Temperature-dependent lattice thermal conductivity

../../_images/fig_times611.png

(b) Computation time