mp-981/SrF2/anharm

Harmonic properties

../../_images/fig_bandos_pr484.png

(a) Phonon dispersion with participation ratio and DOS

../../_images/fig_thermo484.png

(b) Thermodynamic properties

Grüneisen parameters

../../_images/fig_gru_all331.png

(a) Grüneisen parameters

../../_images/fig_gruneisen331.png

(b) Phonon dispersion with Grüneisen parameters

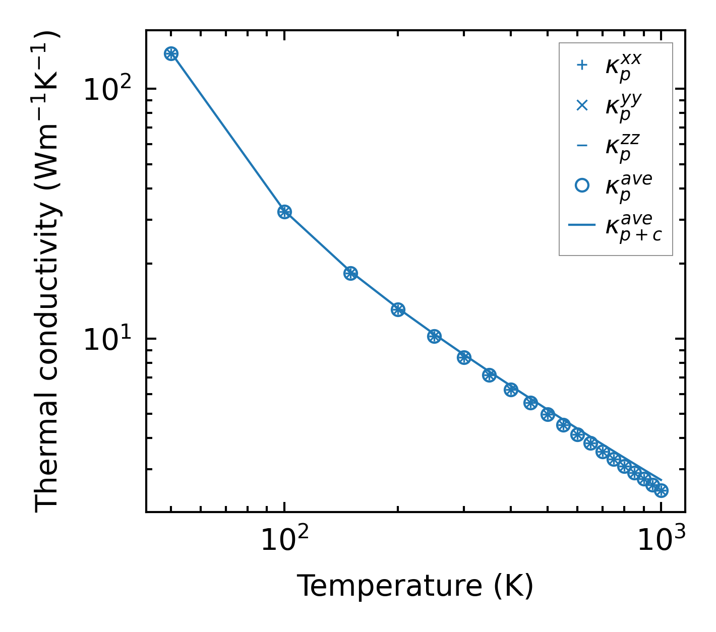
Thermal conductivity

3-phonon (LASSO) — q-mesh: 19x19x19, supercell: 2x2x2

../../_images/fig_kappa643.png

(a) Temperature-dependent lattice thermal conductivity

../../_images/fig_kappa_vs_grain_size333.png

(b) Peierls lattice thermal conductivity w.r.t grain size

Phonon lifetime and scattering rates

../../_images/fig_lifetime329.png

(a) Phonon lifetime due to phonon-phonon scattering

../../_images/fig_scat_rates328.png

(b) Phonon scattering rates

Cumulative and spectral thermal conductivity

../../_images/fig_cumu_frequency329.png

(a) Spectral and cumulative thermal conductivity w.r.t frequency

../../_images/fig_cumu_mfp329.png

(b) Spectral and cumulative thermal conductivity w.r.t MFP

Force constants

../../_images/fig_fc2410.png

(a) Force constants w.r.t atomic distance

Summary

../../_images/fig_kappa644.png

(a) Temperature-dependent lattice thermal conductivity

../../_images/fig_times735.png

(b) Computation time