mp-953-2/NbZn3/anharm

Equation of state

../../_images/fig_bm151.png

(a) Equation of state

Harmonic properties

../../_images/fig_bandos_pr478.png

(a) Phonon dispersion with participation ratio and DOS

../../_images/fig_thermo478.png

(b) Thermodynamic properties

Grüneisen parameters

../../_images/fig_gru_all326.png

(a) Grüneisen parameters

../../_images/fig_gruneisen326.png

(b) Phonon dispersion with Grüneisen parameters

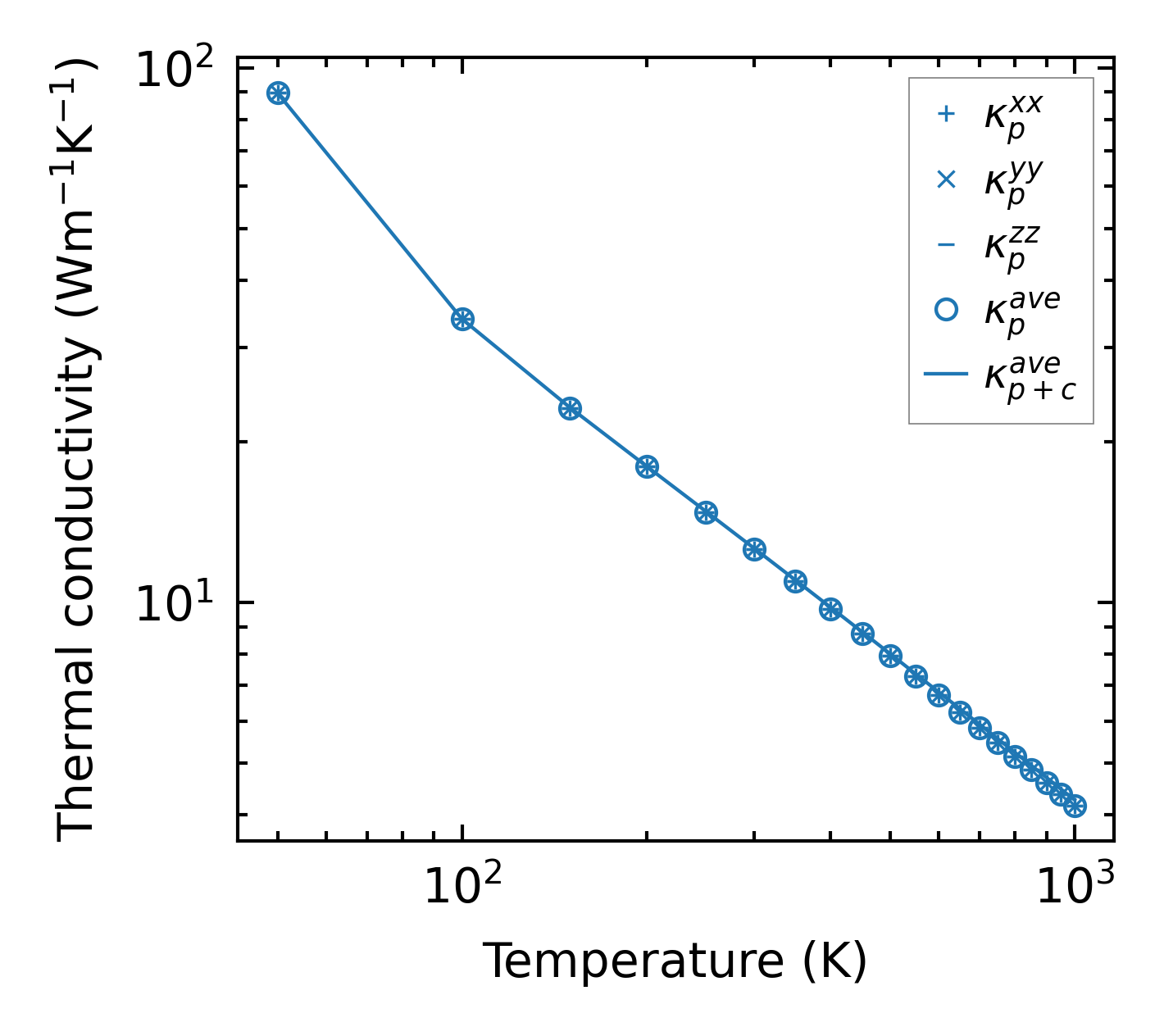
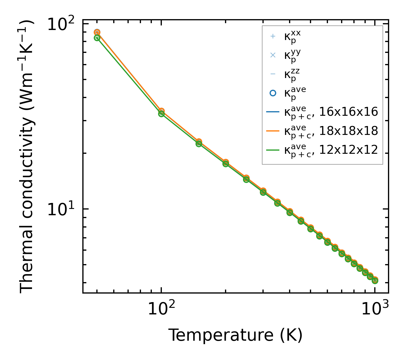
Thermal conductivity

3-phonon (LASSO) — q-mesh: 18x18x18, supercell: 3x3x3

../../_images/fig_kappa633.png

(a) Temperature-dependent lattice thermal conductivity

../../_images/fig_kappa_vs_grain_size328.png

(b) Peierls lattice thermal conductivity w.r.t grain size

Phonon lifetime and scattering rates

../../_images/fig_lifetime324.png

(a) Phonon lifetime due to phonon-phonon scattering

../../_images/fig_scat_rates323.png

(b) Phonon scattering rates

Cumulative and spectral thermal conductivity

../../_images/fig_cumu_frequency324.png

(a) Spectral and cumulative thermal conductivity w.r.t frequency

../../_images/fig_cumu_mfp324.png

(b) Spectral and cumulative thermal conductivity w.r.t MFP

Force constants

../../_images/fig_fc2404.png

(a) Force constants w.r.t atomic distance

Summary

../../_images/fig_kappa634.png

(a) Temperature-dependent lattice thermal conductivity

../../_images/fig_times729.png

(b) Computation time