mp-588/GaF3/anharm

Harmonic properties

../../_images/fig_bandos_pr410.png

(a) Phonon dispersion with participation ratio and DOS

../../_images/fig_thermo410.png

(b) Thermodynamic properties

Grüneisen parameters

../../_images/fig_gru_all281.png

(a) Grüneisen parameters

../../_images/fig_gruneisen281.png

(b) Phonon dispersion with Grüneisen parameters

Thermal conductivity

3-phonon (LASSO) — q-mesh: 15x15x15, supercell: 2x2x1

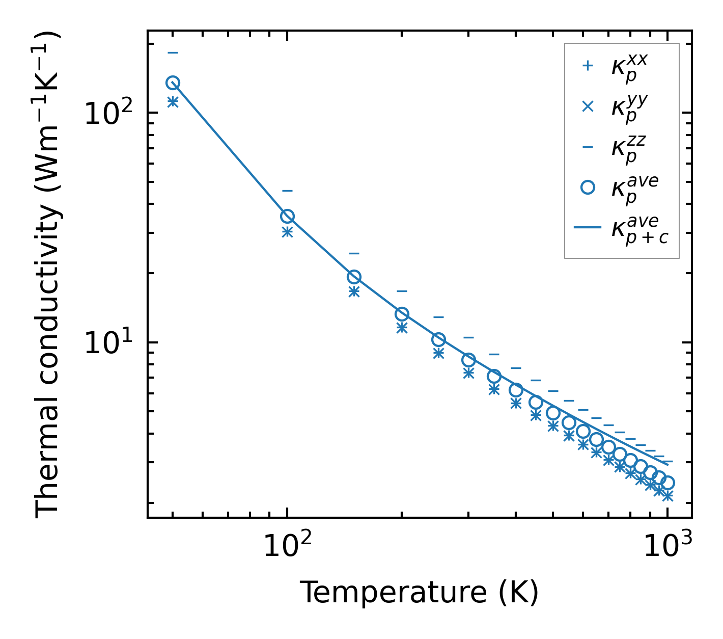
../../_images/fig_kappa550.png

(a) Temperature-dependent lattice thermal conductivity

../../_images/fig_kappa_vs_grain_size284.png

(b) Peierls lattice thermal conductivity w.r.t grain size

Phonon lifetime and scattering rates

../../_images/fig_lifetime280.png

(a) Phonon lifetime due to phonon-phonon scattering

../../_images/fig_scat_rates279.png

(b) Phonon scattering rates

Cumulative and spectral thermal conductivity

../../_images/fig_cumu_frequency280.png

(a) Spectral and cumulative thermal conductivity w.r.t frequency

../../_images/fig_cumu_mfp280.png

(b) Spectral and cumulative thermal conductivity w.r.t MFP

Force constants

../../_images/fig_fc2340.png

(a) Force constants w.r.t atomic distance

Summary

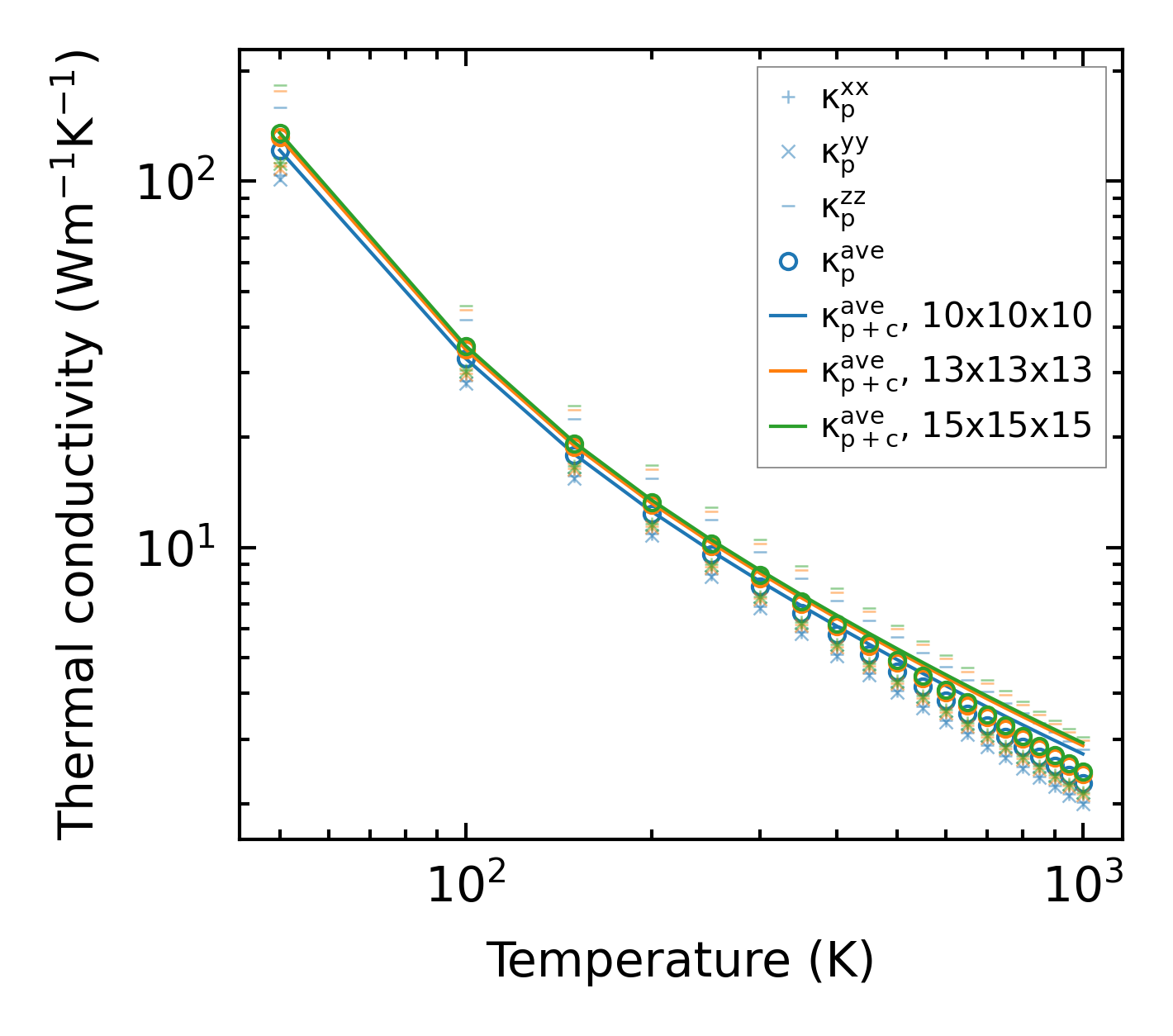
../../_images/fig_kappa551.png

(a) Temperature-dependent lattice thermal conductivity

../../_images/fig_times643.png

(b) Computation time